- Matplotlib - Home
- Matplotlib - Introduction
- Matplotlib - Vs Seaborn
- Matplotlib - Environment Setup
- Matplotlib - Anaconda distribution
- Matplotlib - Jupyter Notebook
- Matplotlib - Pyplot API
- Matplotlib - Simple Plot
- Matplotlib - Saving Figures
- Matplotlib - Markers
- Matplotlib - Figures
- Matplotlib - Styles
- Matplotlib - Legends
- Matplotlib - Colors
- Matplotlib - Colormaps
- Matplotlib - Colormap Normalization
- Matplotlib - Choosing Colormaps
- Matplotlib - Colorbars
- Matplotlib - Working With Text
- Matplotlib - Text properties
- Matplotlib - Subplot Titles
- Matplotlib - Images
- Matplotlib - Image Masking
- Matplotlib - Annotations
- Matplotlib - Arrows
- Matplotlib - Fonts
- Matplotlib - Font Indexing
- Matplotlib - Font Properties
- Matplotlib - Scales
- Matplotlib - LaTeX
- Matplotlib - LaTeX Text Formatting in Annotations
- Matplotlib - PostScript
- Matplotlib - Mathematical Expressions
- Matplotlib - Animations
- Matplotlib - Celluloid Library
- Matplotlib - Blitting
- Matplotlib - Toolkits
- Matplotlib - Artists
- Matplotlib - Styling with Cycler
- Matplotlib - Paths
- Matplotlib - Path Effects
- Matplotlib - Transforms
- Matplotlib - Ticks and Tick Labels
- Matplotlib - Radian Ticks
- Matplotlib - Dateticks
- Matplotlib - Tick Formatters
- Matplotlib - Tick Locators
- Matplotlib - Basic Units
- Matplotlib - Autoscaling
- Matplotlib - Reverse Axes
- Matplotlib - Logarithmic Axes
- Matplotlib - Symlog
- Matplotlib - Unit Handling
- Matplotlib - Ellipse with Units
- Matplotlib - Spines
- Matplotlib - Axis Ranges
- Matplotlib - Axis Scales
- Matplotlib - Axis Ticks
- Matplotlib - Formatting Axes
- Matplotlib - Axes Class
- Matplotlib - Twin Axes
- Matplotlib - Figure Class
- Matplotlib - Multiplots
- Matplotlib - Grids
- Matplotlib - Object-oriented Interface
- Matplotlib - PyLab module
- Matplotlib - Subplots() Function
- Matplotlib - Subplot2grid() Function
- Matplotlib - Anchored Artists
- Matplotlib - Manual Contour
- Matplotlib - Coords Report
- Matplotlib - AGG filter
- Matplotlib - Ribbon Box
- Matplotlib - Fill Spiral
- Matplotlib - Findobj Method
- Matplotlib - Hyperlinks
- Matplotlib - Image Thumbnail
- Matplotlib - Plotting with Keywords
- Matplotlib - Create Logo
- Matplotlib - Multipage PDF
- Matplotlib - Multiprocessing
- Matplotlib - Print Stdout
- Matplotlib - Compound Path
- Matplotlib - Sankey Class
- Matplotlib - MRI with EEG
- Matplotlib - Stylesheets
- Matplotlib - Background Colors
- Matplotlib - Basemap
Matplotlib Events
- Matplotlib - Event Handling
- Matplotlib - Close Event
- Matplotlib - Mouse Move
- Matplotlib - Click Events
- Matplotlib - Scroll Event
- Matplotlib - Keypress Event
- Matplotlib - Pick Event
- Matplotlib - Looking Glass
- Matplotlib - Path Editor
- Matplotlib - Poly Editor
- Matplotlib - Timers
- Matplotlib - Viewlims
- Matplotlib - Zoom Window
Matplotlib Widgets
- Matplotlib - Cursor Widget
- Matplotlib - Annotated Cursor
- Matplotlib - Button Widget
- Matplotlib - Check Buttons
- Matplotlib - Lasso Selector
- Matplotlib - Menu Widget
- Matplotlib - Mouse Cursor
- Matplotlib - Multicursor
- Matplotlib - Polygon Selector
- Matplotlib - Radio Buttons
- Matplotlib - RangeSlider
- Matplotlib - Rectangle Selector
- Matplotlib - Ellipse Selector
- Matplotlib - Slider Widget
- Matplotlib - Span Selector
- Matplotlib - Textbox
Matplotlib Plotting
- Matplotlib - Line Plots
- Matplotlib - Area Plots
- Matplotlib - Bar Graphs
- Matplotlib - Histogram
- Matplotlib - Pie Chart
- Matplotlib - Scatter Plot
- Matplotlib - Box Plot
- Matplotlib - Arrow Demo
- Matplotlib - Fancy Boxes
- Matplotlib - Zorder Demo
- Matplotlib - Hatch Demo
- Matplotlib - Mmh Donuts
- Matplotlib - Ellipse Demo
- Matplotlib - Bezier Curve
- Matplotlib - Bubble Plots
- Matplotlib - Stacked Plots
- Matplotlib - Table Charts
- Matplotlib - Polar Charts
- Matplotlib - Hexagonal bin Plots
- Matplotlib - Violin Plot
- Matplotlib - Event Plot
- Matplotlib - Heatmap
- Matplotlib - Stairs Plots
- Matplotlib - Errorbar
- Matplotlib - Hinton Diagram
- Matplotlib - Contour Plot
- Matplotlib - Wireframe Plots
- Matplotlib - Surface Plots
- Matplotlib - Triangulations
- Matplotlib - Stream plot
- Matplotlib - Ishikawa Diagram
- Matplotlib - 3D Plotting
- Matplotlib - 3D Lines
- Matplotlib - 3D Scatter Plots
- Matplotlib - 3D Contour Plot
- Matplotlib - 3D Bar Plots
- Matplotlib - 3D Wireframe Plot
- Matplotlib - 3D Surface Plot
- Matplotlib - 3D Vignettes
- Matplotlib - 3D Volumes
- Matplotlib - 3D Voxels
- Matplotlib - Time Plots and Signals
- Matplotlib - Filled Plots
- Matplotlib - Step Plots
- Matplotlib - XKCD Style
- Matplotlib - Quiver Plot
- Matplotlib - Stem Plots
- Matplotlib - Visualizing Vectors
- Matplotlib - Audio Visualization
- Matplotlib - Audio Processing
Matplotlib Useful Resources
- Matplotlib - Quick Guide
- Matplotlib - Cheatsheet
- Matplotlib - Useful Resources
- Matplotlib - Discussion
Matplotlib - Styling with Cycler
Cycler is a separate package that is extracted from Matplotlib, and it is designed to control the style properties like color, marker, and linestyle of the plots. This tool allows you to easily cycle through different styles for plotting multiple lines on a single axis.
Importing the Cycler − To start using Cycler, you need to import it into your Python script.
from cycler import cycler
This enables you to create and manipulate Cyclers for styling your plots.
Creating a Cycler − The cycler function is used to create a new Cycler object. It can be called with a single positional argument, a pair of positional arguments, or a combination of keyword arguments.
# Creating a color Cycler color_cycle = cycler(color=['r', 'g', 'b'])
The "color_cycle" is a Cycler object that cycles through the colors red, green, and blue. Once you have a Cycler, you can link it to the matplotlibs plot attribute.
Cycling Through Multiple Properties
The Cycler package provides advanced operations for combining and manipulating multiple Cyclers to create complex style variations. It means that you can add cyclers together or multiply them to combine different properties.
Following are the different operations in cycler −
- Cycler Addition − Multiple Cycler objects can be combined using the + operator. For example −
cycler(color=['r', 'g', 'b']) + cycler(linestyle=['-', '--', ':'])
- Cycler Multiplication − Cyclers can be multiplied to create a wider range of unique styles. For example:
cycler(color=['r', 'g', 'b']) * cycler(linestyle=['-', '--', ':'])
- Integer Multiplication − Cycler objects can be multiplied by integer values to increase their length. Both cycler * 2 and 2 * cycler yield the same result, repeating the elements. Here is the syntax:
color_cycle * 2
- Cycler Concatenation − Cycler objects can be concatenated using the Cycler.concat() method or the top-level concat() function.
In this tutorial, we will explore two distinct approaches for customizing the style of plots in Matplotlib using the Cycler package.
- Setting Default Property Cycle (rc parameter) − This is the global setting that ensures that every subsequent plot will be set to the specified style.
- Setting Property Cycle for a Single Pair of Axes − This is the local setting that applies a custom property cycle exclusively to a particular set of axes.
Setting Default Property Cycle (rc parameter)
In matplotlib, specifying a default style for all future plots will be possible by using matplotlib.pyplot.rc() method, this will set the default cycler for lines in your plots and axes. This means every plot you make in the future will follow this color and linestyle cycle unless you override it.
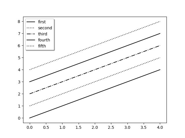
Example - Cycling through Multiple Line Styles
This is a basic example that demonstrates how to cycle through different line styles for multiple plots. Here the plt.rc() method is used to set the default linestyle for the plot.
import matplotlib.pyplot as plt
from cycler import cycler
# Set the property cycle for the linestyle of lines in the axes
linestyle_cycler = cycler('linestyle', ['-', ':', '-.'])
plt.rc('axes', prop_cycle=linestyle_cycler)
# Create multiple plots using a loop
for i in range(5):
x = range(i, i + 5)
plt.plot(range(5), x)
# Display the plot
plt.legend(['first', 'second', 'third', 'fourth', 'fifth'], loc='upper left', fancybox=True, shadow=True)
plt.show()
Output
On executing the above code we will get the following output −
Lets combine multiple (color and a linestyle) cyclers together by adding (+) symbol to them.
Example - Combining Color and Linestyles
This example demonstrates how to define a default style (cycle through both colors and linestyles) for your plots using Cycler, making it easy to visualize all plots with different colors ('r', 'g', 'b', 'y') and linestyles ('-', '--', ':', '-.').
from cycler import cycler
import matplotlib.pyplot as plt
import numpy as np
# Generate sample data
x = np.linspace(0, 2 * np.pi, 50)
offsets = np.linspace(0, 2 * np.pi, 4, endpoint=False)
yy = np.transpose([np.sin(x + phi) for phi in offsets])
# Set default prop_cycle
default_cycler = (cycler(color=['r', 'g', 'b', 'y']) +
cycler(linestyle=['-', '--', ':', '-.']))
plt.rc('lines', linewidth=4)
plt.rc('axes', prop_cycle=default_cycler)
# Plot with the default color cycle
plt.plot(yy)
plt.title('Set Default Color Cycle')
plt.show()
Output
On executing the above code we will get the following output −
Example - Setting Property Cycle for a Single Pair of Axes
Customize the style for a specific pair of axes within a figure without affecting others. you use the matplotlib.axes.Axes.set_prop_cycle() to apply this custom cycler. This means that only the plots on this particular set of axes will follow the specified color and linewidth cycle.
In this example, the first set of plots on ax0 follows the default color and linestyle cycle. The second set of plots on ax1 uses a custom color and linewidth cycle defined specifically for this axis using the set_prop_cycle() method.
from cycler import cycler
import matplotlib.pyplot as plt
import numpy as np
# Generate sample data
x = np.linspace(0, 2 * np.pi, 50)
offsets = np.linspace(0, 2 * np.pi, 4, endpoint=False)
yy = np.transpose([np.sin(x + phi) for phi in offsets])
# Define a default cycler for colors and linestyles
default_cycler = (cycler(color=['r', 'g', 'b', 'y']) +
cycler(linestyle=['-', '--', ':', '-.']))
# Set the default linewidth for lines in all plots
plt.rc('lines', linewidth=4)
# Set the default property cycle for axes to the default cycler
plt.rc('axes', prop_cycle=default_cycler)
# Create a figure and two axes
fig, (ax0, ax1) = plt.subplots(nrows=2, figsize=(7, 8))
# Plot on the first axis using the default color cycle
ax0.plot(yy)
ax0.set_title('Default Color Cycle: rgby')
# Define a custom cycler
custom_cycler = (cycler(color=['c', 'm', 'y', 'k']) +
cycler(lw=[1, 2, 3, 4]))
# Set the custom property cycle for the second axis
ax1.set_prop_cycle(custom_cycler)
# Plot on the second axis using the custom color and linewidth cycle
ax1.plot(yy)
ax1.set_title('Custom Color Cycle: cmyk')
# Add space between the two plots
fig.subplots_adjust(hspace=0.3)
# Show the plots
plt.show()
Output
On executing the above code we will get the following output −