Selected Reading

Red-Black Trees are another type of the Balanced Binary Search Trees with two coloured nodes: Red and Black. It is a self-balancing binary search tree that makes use of these colours to maintain the balance factor during the insertion and deletion operations. Hence, during the Red-Black Tree operations, the memory uses 1 bit of storage to accommodate the colour information of each node

In Red-Black trees, also known as RB trees, there are different conditions to follow while assigning the colours to the nodes.

  • The root node is always black in colour.

  • No two adjacent nodes must be red in colour.

  • Every path in the tree (from the root node to the leaf node) must have the same amount of black coloured nodes.

Even though AVL trees are more balanced than RB trees, with the balancing algorithm in AVL trees being stricter than that of RB trees, multiple and faster insertion and deletion operations are made more efficient through RB trees.

RB trees

Fig: RB trees

Basic Operations of Red-Black Trees

The operations on Red-Black Trees include all the basic operations usually performed on a Binary Search Tree. Some of the basic operations of an RB Tree include −

  • Insertion

  • Deletion

  • Search

Insertion operation

Insertion operation of a Red-Black tree follows the same insertion algorithm of a binary search tree. The elements are inserted following the binary search property and as an addition, the nodes are color coded as red and black to balance the tree according to the red-black tree properties.

Follow the procedure given below to insert an element into a red-black tree by maintaining both binary search tree and red black tree properties.

Case 1 − Check whether the tree is empty; make the current node as the root and color the node black if it is empty.

Case 2 − But if the tree is not empty, we create a new node and color it red. Here we face two different cases −

  • If the parent of the new node is a black colored node, we exit the operation and tree is left as it is.

  • If the parent of this new node is red and the color of the parent's sibling is either black or if it does not exist, we apply a suitable rotation and recolor accordingly.

  • If the parent of this new node is red and color of the parent's sibling is red, recolor the parent, the sibling and grandparent nodes to black. The grandparent is recolored only if it is not the root node; if it is the root node recolor only the parent and the sibling.

Example

Let us construct an RB Tree for the first 7 integer numbers to understand the insertion operation in detail −

The tree is checked to be empty so the first node added is a root and is colored black.

first node

Now, the tree is not empty so we create a new node and add the next integer with color red,

new node

The nodes do not violate the binary search tree and RB tree properties, hence we move ahead to add another node.

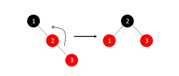
The tree is not empty; we create a new red node with the next integer to it. But the parent of the new node is not a black colored node,

third node

The tree right now violates both the binary search tree and RB tree properties; since parent's sibling is NULL, we apply a suitable rotation and recolor the nodes.

suitable rotation

Now that the RB Tree property is restored, we add another node to the tree −

RB Tree property

The tree once again violates the RB Tree balance property, so we check for the parent's sibling node color, red in this case, so we just recolor the parent and the sibling.

RB Tree balance property

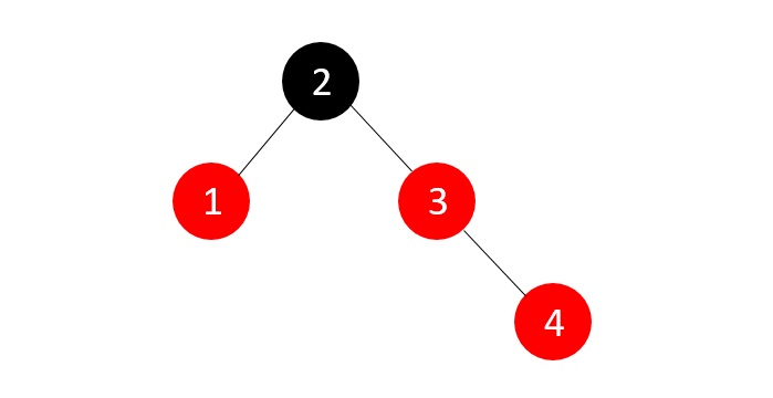
We next insert the element 5, which makes the tree violate the RB Tree balance property once again.

insert element 5

And since the sibling is NULL, we apply suitable rotation and recolor.

sibling is NULL

Now, we insert element 6, but the RB Tree property is violated and one of the insertion cases need to be applied −

insert element 6

The parent's sibling is red, so we recolor the parent, parent's sibling and the grandparent nodes since the grandparent is not the root node.

recolor parent

Now, we add the last element, 7, but the parent node of this new node is red.

add last element

Since the parent's sibling is NULL, we apply suitable rotations (RR rotation)

RB Tree achieved

The final RB Tree is achieved.

Deletion operation

The deletion operation on red black tree must be performed in such a way that it must restore all the properties of a binary search tree and a red black tree. Follow the steps below to perform the deletion operation on the red black tree −

Firstly, we perform deletion based on the binary search tree properties.

Case 1 − If either the node to be deleted or the node's parent is red, just delete it.

Case 2 − If the node is a double black, just remove the double black (double black occurs when the node to be deleted is a black colored leaf node, as it adds up the NULL nodes which are considered black colored nodes too)

Case 3 − If the double black's sibling node is also a black node and its child nodes are also black in color, follow the steps below −

  • Remove double black

  • Recolor its parent to black (if the parent is a red node, it becomes black; if the parent is already a black node, it becomes double black)

  • Recolor the parent's sibling with red

  • If double black node still exists, we apply other cases.

Case 4 − If the double black node's sibling is red, we perform the following steps −

  • Swap the colors of the parent node and the parent's sibling node.

  • Rotate parent node in the double black's direction

  • Reapply other cases that are suitable.

Case 5 − If the double black's sibling is a black node but the sibling's child node that is closest to the double black is red, follows the steps below −

  • Swap the colors of double black's sibling and the sibling's child in question

  • Rotate the sibling node is the opposite direction of double black (i.e. if the double black is a right child apply left rotations and vice versa)

  • Apply case 6.

Case 6 − If the double black's sibling is a black node but the sibling's child node that is farther to the double black is red, follows the steps below −

  • Swap the colors of double black's parent and sibling nodes

  • Rotate the parent in double black's direction (i.e. if the double black is a right child apply right rotations and vice versa)

  • Remove double black

  • Change the color of red child node to black.

Example

Considering the same constructed Red-Black Tree above, let us delete few elements from the tree.

RB Tree achieved

Delete elements 4, 5, 3 from the tree.

To delete the element 4, let us perform the binary search deletion first.

delete element 4

After performing the binary search deletion, the RB Tree property is not disturbed, therefore the tree is left as it is.

Then, we delete the element 5 using the binary search deletion

delete element 5

But the RB property is violated after performing the binary search deletion, i.e., all the paths in the tree do not hold same number of black nodes; so we swap the colors to balance the tree.

RB property violated

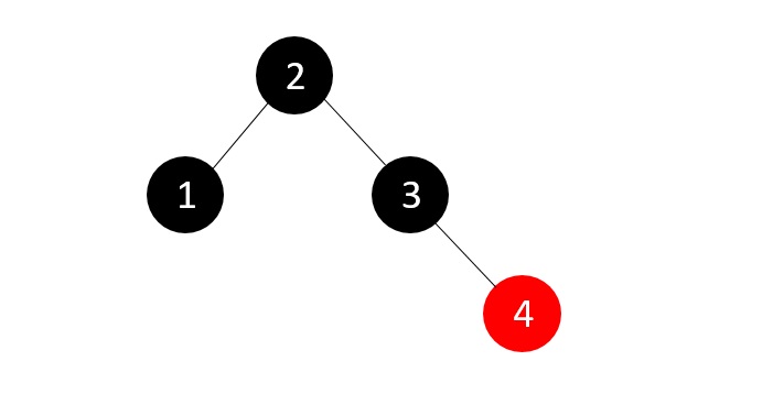
Then, we delete the node 3 from the tree obtained −

Applying binary search deletion, we delete node 3 normally as it is a leaf node. And we get a double node as 3 is a black colored node.

delete node 3

We apply case 3 deletion as double black's sibling node is black and its child nodes are also black. Here, we remove the double black, recolor the double black's parent and sibling.

RB Tree property maintained

All the desired nodes are deleted and the RB Tree property is maintained.

The search operation in red-black tree follows the same algorithm as that of a binary search tree. The tree is traversed and each node is compared with the key element to be searched; if found it returns a successful search. Otherwise, it returns an unsuccessful search.

Complete implementation

Following are the complete implementations of Red Black Tree in various programming languages −

// C++ program for Red black trees algorithmn
#include <iostream>
using namespace std;
struct Node {
  int data;
  Node *parent;
  Node *left;
  Node *right;
  int color;
};
typedef Node *NodePtr;
class RedBlackTree {
   private:
  NodePtr root;
  NodePtr TNULL;
  void initializeNULLNode(NodePtr node, NodePtr parent) {
    node->data = 0;
    node->parent = parent;
    node->left = nullptr;
    node->right = nullptr;
    node->color = 0;
  }
  // Preorder
  void preOrderHelper(NodePtr node) {
    if (node != TNULL) {
      cout << node->data << " ";
      preOrderHelper(node->left);
      preOrderHelper(node->right);
    }
  }
  // Inorder
  void inOrderHelper(NodePtr node) {
    if (node != TNULL) {
      inOrderHelper(node->left);
      cout << node->data << " ";
      inOrderHelper(node->right);
    }
  }
  // Post order
  void postOrderHelper(NodePtr node) {
    if (node != TNULL) {
      postOrderHelper(node->left);
      postOrderHelper(node->right);
      cout << node->data << " ";
    }
  }
  NodePtr searchTreeHelper(NodePtr node, int key) {
    if (node == TNULL || key == node->data) {
      return node;
    }
    if (key < node->data) {
      return searchTreeHelper(node->left, key);
    }
    return searchTreeHelper(node->right, key);
  }
  // For balancing the tree after deletion
  void deleteFix(NodePtr x) {
    NodePtr s;
    while (x != root && x->color == 0) {
      if (x == x->parent->left) {
        s = x->parent->right;
        if (s->color == 1) {
          s->color = 0;
          x->parent->color = 1;
          leftRotate(x->parent);
          s = x->parent->right;
        }
        if (s->left->color == 0 && s->right->color == 0) {
          s->color = 1;
          x = x->parent;
        } else {
          if (s->right->color == 0) {
            s->left->color = 0;
            s->color = 1;
            rightRotate(s);
            s = x->parent->right;
          }
          s->color = x->parent->color;
          x->parent->color = 0;
          s->right->color = 0;
          leftRotate(x->parent);
          x = root;
        }
      } else {
        s = x->parent->left;
        if (s->color == 1) {
          s->color = 0;
          x->parent->color = 1;
          rightRotate(x->parent);
          s = x->parent->left;
        }
        if (s->right->color == 0 && s->right->color == 0) {
          s->color = 1;
          x = x->parent;
        } else {
          if (s->left->color == 0) {
            s->right->color = 0;
            s->color = 1;
            leftRotate(s);
            s = x->parent->left;
          }
          s->color = x->parent->color;
          x->parent->color = 0;
          s->left->color = 0;
          rightRotate(x->parent);
          x = root;
        }
      }
    }
    x->color = 0;
  }
  void rbTransplant(NodePtr u, NodePtr v) {
    if (u->parent == nullptr) {
      root = v;
    } else if (u == u->parent->left) {
      u->parent->left = v;
    } else {
      u->parent->right = v;
    }
    v->parent = u->parent;
  }
  void deleteNodeHelper(NodePtr node, int key) {
    NodePtr z = TNULL;
    NodePtr x, y;
    while (node != TNULL) {
      if (node->data == key) {
        z = node;
      }
      if (node->data <= key) {
        node = node->right;
      } else {
        node = node->left;
      }
    }
    if (z == TNULL) {
      cout << "Key not found in the tree" << endl;
      return;
    }
    y = z;
    int y_original_color = y->color;
    if (z->left == TNULL) {
      x = z->right;
      rbTransplant(z, z->right);
    } else if (z->right == TNULL) {
      x = z->left;
      rbTransplant(z, z->left);
    } else {
      y = minimum(z->right);
      y_original_color = y->color;
      x = y->right;
      if (y->parent == z) {
        x->parent = y;
      } else {
        rbTransplant(y, y->right);
        y->right = z->right;
        y->right->parent = y;
      }
      rbTransplant(z, y);
      y->left = z->left;
      y->left->parent = y;
      y->color = z->color;
    }
    delete z;
    if (y_original_color == 0) {
      deleteFix(x);
    }
  }
  // For balancing the tree after insertion
  void insertFix(NodePtr k) {
    NodePtr u;
    while (k->parent->color == 1) {
      if (k->parent == k->parent->parent->right) {
        u = k->parent->parent->left;
        if (u->color == 1) {
          u->color = 0;
          k->parent->color = 0;
          k->parent->parent->color = 1;
          k = k->parent->parent;
        } else {
          if (k == k->parent->left) {
            k = k->parent;
            rightRotate(k);
          }
          k->parent->color = 0;
          k->parent->parent->color = 1;
          leftRotate(k->parent->parent);
        }
      } else {
        u = k->parent->parent->right;
        if (u->color == 1) {
          u->color = 0;
          k->parent->color = 0;
          k->parent->parent->color = 1;
          k = k->parent->parent;
        } else {
          if (k == k->parent->right) {
            k = k->parent;
            leftRotate(k);
          }
          k->parent->color = 0;
          k->parent->parent->color = 1;
          rightRotate(k->parent->parent);
        }
      }
      if (k == root) {
        break;
      }
    }
    root->color = 0;
  }
  void printHelper(NodePtr root, string indent, bool last) {
    if (root != TNULL) {
      cout << indent;
      if (last) {
        cout << "R----";
        indent += "   ";
      } else {
        cout << "L----";
        indent += "|  ";
      }
      string sColor = root->color ? "RED" : "BLACK";
      cout << root->data << "(" << sColor << ")" << endl;
      printHelper(root->left, indent, false);
      printHelper(root->right, indent, true);
    }
  }
   public:
  RedBlackTree() {
    TNULL = new Node;
    TNULL->color = 0;
    TNULL->left = nullptr;
    TNULL->right = nullptr;
    root = TNULL;
  }
  void preorder() {
    preOrderHelper(this->root);
  }
  void inorder() {
    inOrderHelper(this->root);
  }
  void postorder() {
    postOrderHelper(this->root);
  }
  NodePtr searchTree(int k) {
    return searchTreeHelper(this->root, k);
  }
  NodePtr minimum(NodePtr node) {
    while (node->left != TNULL) {
      node = node->left;
    }
    return node;
  }
  NodePtr maximum(NodePtr node) {
    while (node->right != TNULL) {
      node = node->right;
    }
    return node;
  }
  NodePtr successor(NodePtr x) {
    if (x->right != TNULL) {
      return minimum(x->right);
    }
    NodePtr y = x->parent;
    while (y != TNULL && x == y->right) {
      x = y;
      y = y->parent;
    }
    return y;
  }
  NodePtr predecessor(NodePtr x) {
    if (x->left != TNULL) {
      return maximum(x->left);
    }
    NodePtr y = x->parent;
    while (y != TNULL && x == y->left) {
      x = y;
      y = y->parent;
    }
    return y;
  }
  void leftRotate(NodePtr x) {
    NodePtr y = x->right;
    x->right = y->left;
    if (y->left != TNULL) {
      y->left->parent = x;
    }
    y->parent = x->parent;
    if (x->parent == nullptr) {
      this->root = y;
    } else if (x == x->parent->left) {
      x->parent->left = y;
    } else {
      x->parent->right = y;
    }
    y->left = x;
    x->parent = y;
  }
  void rightRotate(NodePtr x) {
    NodePtr y = x->left;
    x->left = y->right;
    if (y->right != TNULL) {
      y->right->parent = x;
    }
    y->parent = x->parent;
    if (x->parent == nullptr) {
      this->root = y;
    } else if (x == x->parent->right) {
      x->parent->right = y;
    } else {
      x->parent->left = y;
    }
    y->right = x;
    x->parent = y;
  }
  // Inserting a node
  void insert(int key) {
    NodePtr node = new Node;
    node->parent = nullptr;
    node->data = key;
    node->left = TNULL;
    node->right = TNULL;
    node->color = 1;
    NodePtr y = nullptr;
    NodePtr x = this->root;
    while (x != TNULL) {
      y = x;
      if (node->data < x->data) {
        x = x->left;
      } else {
        x = x->right;
      }
    }
    node->parent = y;
    if (y == nullptr) {
      root = node;
    } else if (node->data < y->data) {
      y->left = node;
    } else {
      y->right = node;
    }
    if (node->parent == nullptr) {
      node->color = 0;
      return;
    }
    if (node->parent->parent == nullptr) {
      return;
    }
    insertFix(node);
  }
  NodePtr getRoot() {
    return this->root;
  }
  void deleteNode(int data) {
    deleteNodeHelper(this->root, data);
  }
  void printTree() {
    if (root) {
      printHelper(this->root, "", true);
    }
  }
};
int main() {
  RedBlackTree V;
    V.insert(24);
    V.insert(33);
    V.insert(42);
    V.insert(51);
    V.insert(60);
    V.insert(40);
    V.insert(22);
  V.printTree();
  cout << endl
     << "After deleting an element" << endl;
  V.deleteNode(40);
  V.printTree();
}

Output

R----33(BLACK)
   L----24(BLACK)
   |  L----22(RED)
   R----51(RED)
      L----42(BLACK)
      |  L----40(RED)
      R----60(BLACK)

After deleting an element
R----33(BLACK)
   L----24(BLACK)
   |  L----22(RED)
   R----51(RED)
      L----42(BLACK)
      R----60(BLACK)
// Implementing Red-Black Tree in Java
class Node {
    int data;
    Node parent;
    Node left;
    Node right;
    int color;
}
public class RedBlackTree {
    private Node root;
    private Node TNULL;

    // Preorder
    private void preOrderHelper(Node node) {
        if (node != TNULL) {
            System.out.print(node.data + " ");
            preOrderHelper(node.left);
            preOrderHelper(node.right);
        }
    }
    // Inorder
    private void inOrderHelper(Node node) {
        if (node != TNULL) {
            inOrderHelper(node.left);
            System.out.print(node.data + " ");
            inOrderHelper(node.right);
        }
    }

    // Post order
    private void postOrderHelper(Node node) {
        if (node != TNULL) {
            postOrderHelper(node.left);
            postOrderHelper(node.right);
            System.out.print(node.data + " ");
        }
    }

    // Search the tree
    private Node searchTreeHelper(Node node, int key) {
        if (node == TNULL || key == node.data) {
            return node;
        }

        if (key < node.data) {
            return searchTreeHelper(node.left, key);
        }
        return searchTreeHelper(node.right, key);
    }

    // Balance the tree after deletion of a node
    private void fixDelete(Node x) {
        Node s;
        while (x != root && x.color == 0) {
            if (x == x.parent.left) {
                s = x.parent.right;
                if (s.color == 1) {
                    s.color = 0;
                    x.parent.color = 1;
                    leftRotate(x.parent);
                    s = x.parent.right;
                }

                if (s.left.color == 0 && s.right.color == 0) {
                    s.color = 1;
                    x = x.parent;
                } else {
                    if (s.right.color == 0) {
                        s.left.color = 0;
                        s.color = 1;
                        rightRotate(s);
                        s = x.parent.right;
                    }

                    s.color = x.parent.color;
                    x.parent.color = 0;
                    s.right.color = 0;
                    leftRotate(x.parent);
                    x = root;
                }
            } else {
                s = x.parent.left;
                if (s.color == 1) {
                    s.color = 0;
                    x.parent.color = 1;
                    rightRotate(x.parent);
                    s = x.parent.left;
                }

                if (s.right.color == 0 && s.right.color == 0) {
                    s.color = 1;
                    x = x.parent;
                } else {
                    if (s.left.color == 0) {
                        s.right.color = 0;
                        s.color = 1;
                        leftRotate(s);
                        s = x.parent.left;
                    }

                    s.color = x.parent.color;
                    x.parent.color = 0;
                    s.left.color = 0;
                    rightRotate(x.parent);
                    x = root;
                }
            }
        }
        x.color = 0;
    }

    private void rbTransplant(Node u, Node v) {
        if (u.parent == null) {
            root = v;
        } else if (u == u.parent.left) {
            u.parent.left = v;
        } else {
            u.parent.right = v;
        }
        v.parent = u.parent;
    }

    private void deleteNodeHelper(Node node, int key) {
        Node z = TNULL;
        Node x, y;
        while (node != TNULL) {
            if (node.data == key) {
                z = node;
            }

            if (node.data <= key) {
                node = node.right;
            } else {
                node = node.left;
            }
        }

        if (z == TNULL) {
            System.out.println("Couldn't find key in the tree");
            return;
        }

        y = z;
        int yOriginalColor = y.color;
        if (z.left == TNULL) {
            x = z.right;
            rbTransplant(z, z.right);
        } else if (z.right == TNULL) {
            x = z.left;
            rbTransplant(z, z.left);
        } else {
            y = minimum(z.right);
            yOriginalColor = y.color;
            x = y.right;
            if (y.parent == z) {
                x.parent = y;
            } else {
                rbTransplant(y, y.right);
                y.right = z.right;
                y.right.parent = y;
            }

            rbTransplant(z, y);
            y.left = z.left;
            y.left.parent = y;
            y.color = z.color;
        }
        if (yOriginalColor == 0) {
            fixDelete(x);
        }
    }

    // Balance the node after insertion
    private void fixInsert(Node k) {
        Node u;
        while (k.parent.color == 1) {
            if (k.parent == k.parent.parent.right) {
                u = k.parent.parent.left;
                if (u.color == 1) {
                    u.color = 0;
                    k.parent.color = 0;
                    k.parent.parent.color = 1;
                    k = k.parent.parent;
                } else {
                    if (k == k.parent.left) {
                        k = k.parent;
                        rightRotate(k);
                    }
                    k.parent.color = 0;
                    k.parent.parent.color = 1;
                    leftRotate(k.parent.parent);
                }
            } else {
                u = k.parent.parent.right;

                if (u.color == 1) {
                    u.color = 0;
                    k.parent.color = 0;
                    k.parent.parent.color = 1;
                    k = k.parent.parent;
                } else {
                    if (k == k.parent.right) {
                        k = k.parent;
                        leftRotate(k);
                    }
                    k.parent.color = 0;
                    k.parent.parent.color = 1;
                    rightRotate(k.parent.parent);
                }
            }
            if (k == root) {
                break;
            }
        }
        root.color = 0;
    }

    private void printHelper(Node root, String indent, boolean last) {
        if (root != TNULL) {
            System.out.print(indent);
            if (last) {
                System.out.print("R----");
                indent += "   ";
            } else {
                System.out.print("L----");
                indent += "|  ";
            }

            String sColor = root.color == 1 ? "RED" : "BLACK";
            System.out.println(root.data + "(" + sColor + ")");
            printHelper(root.left, indent, false);
            printHelper(root.right, indent, true);
        }
    }

    public RedBlackTree() {
        TNULL = new Node();
        TNULL.color = 0;
        TNULL.left = null;
        TNULL.right = null;
        root = TNULL;
    }

    public void preorder() {
        preOrderHelper(this.root);
    }

    public void inorder() {
        inOrderHelper(this.root);
    }

    public void postorder() {
        postOrderHelper(this.root);
    }

    public Node searchTree(int k) {
        return searchTreeHelper(this.root, k);
    }

    public Node minimum(Node node) {
        while (node.left != TNULL) {
            node = node.left;
        }
        return node;
    }

    public Node maximum(Node node) {
        while (node.right != TNULL) {
            node = node.right;
        }
        return node;
    }

    public Node successor(Node x) {
        if (x.right != TNULL) {
            return minimum(x.right);
        }

        Node y = x.parent;
        while (y != TNULL && x == y.right) {
            x = y;
            y = y.parent;
        }
        return y;
    }

    public Node predecessor(Node x) {
        if (x.left != TNULL) {
            return maximum(x.left);
        }

        Node y = x.parent;
        while (y != TNULL && x == y.left) {
            x = y;
            y = y.parent;
        }

        return y;
    }

    public void leftRotate(Node x) {
        Node y = x.right;
        x.right = y.left;
        if (y.left != TNULL) {
            y.left.parent = x;
        }
        y.parent = x.parent;
        if (x.parent == null) {
            this.root = y;
        } else if (x == x.parent.left) {
            x.parent.left = y;
        } else {
            x.parent.right = y;
        }
        y.left = x;
        x.parent = y;
    }

    public void rightRotate(Node x) {
        Node y = x.left;
        x.left = y.right;
        if (y.right != TNULL) {
            y.right.parent = x;
        }
        y.parent = x.parent;
        if (x.parent == null) {
            this.root = y;
        } else if (x == x.parent.right) {
            x.parent.right = y;
        } else {
            x.parent.left = y;
        }
        y.right = x;
        x.parent = y;
    }

    public void insert(int key) {
        Node node = new Node();
        node.parent = null;
        node.data = key;
        node.left = TNULL;
        node.right = TNULL;
        node.color = 1;

        Node y = null;
        Node x = this.root;

        while (x != TNULL) {
            y = x;
            if (node.data < x.data) {
                x = x.left;
            } else {
                x = x.right;
            }
        }

        node.parent = y;
        if (y == null) {
            root = node;
        } else if (node.data < y.data) {
            y.left = node;
        } else {
            y.right = node;
        }

        if (node.parent == null) {
            node.color = 0;
            return;
        }

        if (node.parent.parent == null) {
            return;
        }

        fixInsert(node);
    }

    public Node getRoot() {
        return this.root;
    }

    public void deleteNode(int data) {
        deleteNodeHelper(this.root, data);
    }

    public void printTree() {
        printHelper(this.root, "", true);
    }

    public static void main(String[] args) {
        RedBlackTree V = new RedBlackTree();
        V.insert(24);
        V.insert(33);
        V.insert(42);
        V.insert(51);
        V.insert(60);
        V.insert(40);
        V.insert(22);
        V.printTree();

        System.out.println("\nAfter deleting an element:");
        V.deleteNode(40);
        V.printTree();
    }
}

Output

R----33(BLACK)
   L----24(BLACK)
   |  L----22(RED)
R----51(RED)
L----42(BLACK)
|  L----40(RED)
      R----60(BLACK)
After deleting an element:
R----33(BLACK)
L----24(BLACK)
   |  L----22(RED)
R----51(RED)
L----42(BLACK)
R----60(BLACK)
#python program for Red black trees
import sys
# Node creation
class Node():
    def __init__(self, item):
        self.item = item
        self.parent = None
        self.left = None
        self.right = None
        self.color = 1
class RedBlackTree():
    def __init__(self):
        self.TNULL = Node(0)
        self.TNULL.color = 0
        self.TNULL.left = None
        self.TNULL.right = None
        self.root = self.TNULL
    # Preorder
    def pre_order_helper(self, node):
        if node != TNULL:
            sys.stdout.write(node.item + " ")
            self.pre_order_helper(node.left)
            self.pre_order_helper(node.right)
    # Inorder
    def in_order_helper(self, node):
        if node != TNULL:
            self.in_order_helper(node.left)
            sys.stdout.write(node.item + " ")
            self.in_order_helper(node.right)
    # Postorder
    def post_order_helper(self, node):
        if node != TNULL:
            self.post_order_helper(node.left)
            self.post_order_helper(node.right)
            sys.stdout.write(node.item + " ")
    # Search the tree
    def search_tree_helper(self, node, key):
        if node == TNULL or key == node.item:
            return node
        if key < node.item:
            return self.search_tree_helper(node.left, key)
        return self.search_tree_helper(node.right, key)
    # Balancing the tree after deletion
    def delete_fix(self, x):
        while x != self.root and x.color == 0:
            if x == x.parent.left:
                s = x.parent.right
                if s.color == 1:
                    s.color = 0
                    x.parent.color = 1
                    self.left_rotate(x.parent)
                    s = x.parent.right
                if s.left.color == 0 and s.right.color == 0:
                    s.color = 1
                    x = x.parent
                else:
                    if s.right.color == 0:
                        s.left.color = 0
                        s.color = 1
                        self.right_rotate(s)
                        s = x.parent.right
                    s.color = x.parent.color
                    x.parent.color = 0
                    s.right.color = 0
                    self.left_rotate(x.parent)
                    x = self.root
            else:
                s = x.parent.left
                if s.color == 1:
                    s.color = 0
                    x.parent.color = 1
                    self.right_rotate(x.parent)
                    s = x.parent.left

                if s.right.color == 0 and s.right.color == 0:
                    s.color = 1
                    x = x.parent
                else:
                    if s.left.color == 0:
                        s.right.color = 0
                        s.color = 1
                        self.left_rotate(s)
                        s = x.parent.left
                    s.color = x.parent.color
                    x.parent.color = 0
                    s.left.color = 0
                    self.right_rotate(x.parent)
                    x = self.root
        x.color = 0
    def __rb_transplant(self, u, v):
        if u.parent == None:
            self.root = v
        elif u == u.parent.left:
            u.parent.left = v
        else:
            u.parent.right = v
        v.parent = u.parent
    # Node deletion
    def delete_node_helper(self, node, key):
        z = self.TNULL
        while node != self.TNULL:
            if node.item == key:
                z = node
            if node.item <= key:
                node = node.right
            else:
                node = node.left
        if z == self.TNULL:
            print("Cannot find key in the tree")
            return
        y = z
        y_original_color = y.color
        if z.left == self.TNULL:
            x = z.right
            self.__rb_transplant(z, z.right)
        elif (z.right == self.TNULL):
            x = z.left
            self.__rb_transplant(z, z.left)
        else:
            y = self.minimum(z.right)
            y_original_color = y.color
            x = y.right
            if y.parent == z:
                x.parent = y
            else:
                self.__rb_transplant(y, y.right)
                y.right = z.right
                y.right.parent = y
            self.__rb_transplant(z, y)
            y.left = z.left
            y.left.parent = y
            y.color = z.color
        if y_original_color == 0:
            self.delete_fix(x)
    # Balance the tree after insertion
    def fix_insert(self, k):
        while k.parent.color == 1:
            if k.parent == k.parent.parent.right:
                u = k.parent.parent.left
                if u.color == 1:
                    u.color = 0
                    k.parent.color = 0
                    k.parent.parent.color = 1
                    k = k.parent.parent
                else:
                    if k == k.parent.left:
                        k = k.parent
                        self.right_rotate(k)
                    k.parent.color = 0
                    k.parent.parent.color = 1
                    self.left_rotate(k.parent.parent)
            else:
                u = k.parent.parent.right
                if u.color == 1:
                    u.color = 0
                    k.parent.color = 0
                    k.parent.parent.color = 1
                    k = k.parent.parent
                else:
                    if k == k.parent.right:
                        k = k.parent
                        self.left_rotate(k)
                    k.parent.color = 0
                    k.parent.parent.color = 1
                    self.right_rotate(k.parent.parent)
            if k == self.root:
                break
        self.root.color = 0
    # Printing the tree
    def __print_helper(self, node, indent, last):
        if node != self.TNULL:
            sys.stdout.write(indent)
            if last:
                sys.stdout.write("R----")
                indent += "     "
            else:
                sys.stdout.write("L----")
                indent += "|    "
            s_color = "RED" if node.color == 1 else "BLACK"
            print(str(node.item) + "(" + s_color + ")")
            self.__print_helper(node.left, indent, False)
            self.__print_helper(node.right, indent, True)
    def preorder(self):
        self.pre_order_helper(self.root)
    def inorder(self):
        self.in_order_helper(self.root)
    def postorder(self):
        self.post_order_helper(self.root)
    def searchTree(self, k):
        return self.search_tree_helper(self.root, k)
    def minimum(self, node):
        while node.left != self.TNULL:
            node = node.left
        return node
    def maximum(self, node):
        while node.right != self.TNULL:
            node = node.right
        return node
    def successor(self, x):
        if x.right != self.TNULL:
            return self.minimum(x.right)
        y = x.parent
        while y != self.TNULL and x == y.right:
            x = y
            y = y.parent
        return y
    def predecessor(self,  x):
        if (x.left != self.TNULL):
            return self.maximum(x.left)
        y = x.parent
        while y != self.TNULL and x == y.left:
            x = y
            y = y.parent
        return y
    def left_rotate(self, x):
        y = x.right
        x.right = y.left
        if y.left != self.TNULL:
            y.left.parent = x
        y.parent = x.parent
        if x.parent == None:
            self.root = y
        elif x == x.parent.left:
            x.parent.left = y
        else:
            x.parent.right = y
        y.left = x
        x.parent = y
    def right_rotate(self, x):
        y = x.left
        x.left = y.right
        if y.right != self.TNULL:
            y.right.parent = x
        y.parent = x.parent
        if x.parent == None:
            self.root = y
        elif x == x.parent.right:
            x.parent.right = y
        else:
            x.parent.left = y
        y.right = x
        x.parent = y
    def insert(self, key):
        node = Node(key)
        node.parent = None
        node.item = key
        node.left = self.TNULL
        node.right = self.TNULL
        node.color = 1
        y = None
        x = self.root
        while x != self.TNULL:
            y = x
            if node.item < x.item:
                x = x.left
            else:
                x = x.right
        node.parent = y
        if y == None:
            self.root = node
        elif node.item < y.item:
            y.left = node
        else:
            y.right = node
        if node.parent == None:
            node.color = 0
            return
        if node.parent.parent == None:
            return
        self.fix_insert(node)
    def get_root(self):
        return self.root
    def delete_node(self, item):
        self.delete_node_helper(self.root, item)
    def print_tree(self):
        self.__print_helper(self.root, "", True)
if __name__ == "__main__":
    V = RedBlackTree()
    V.insert(24)
    V.insert(33)
    V.insert(42)
    V.insert(51)
    V.insert(60)
    V.insert(40)
    V.insert(22)
    V.print_tree()
    print("\nAfter deleting an element")
    V.delete_node(40)
    V.print_tree()

Output

R----33(BLACK)
     L----24(BLACK)
     |    L----22(RED)
R----51(RED)
          L----42(BLACK)
          |    L----40(RED)
          R----60(BLACK)

After deleting an element
R----33(BLACK)
     L----24(BLACK)
     |    L----22(RED)
     R----51(RED)
          L----42(BLACK)
          R----60(BLACK)
Tutorix - AI Tutor
Advertisements