- DSA - Home
- DSA - Overview
- DSA - Environment Setup
- DSA - Algorithms Basics
- DSA - Asymptotic Analysis
- Data Structures
- DSA - Data Structure Basics
- DSA - Data Structures and Types
- DSA - Array Data Structure
- DSA - Skip List Data Structure
- Linked Lists
- DSA - Linked List Data Structure
- DSA - Doubly Linked List Data Structure
- DSA - Circular Linked List Data Structure
- Stack & Queue
- DSA - Stack Data Structure
- DSA - Expression Parsing
- DSA - Queue Data Structure
- DSA - Circular Queue Data Structure
- DSA - Priority Queue Data Structure
- DSA - Deque Data Structure
- Searching Algorithms
- DSA - Searching Algorithms
- DSA - Linear Search Algorithm
- DSA - Binary Search Algorithm
- DSA - Interpolation Search
- DSA - Jump Search Algorithm
- DSA - Exponential Search
- DSA - Fibonacci Search
- DSA - Sublist Search
- DSA - Hash Table
- Sorting Algorithms
- DSA - Sorting Algorithms
- DSA - Bubble Sort Algorithm
- DSA - Insertion Sort Algorithm
- DSA - Selection Sort Algorithm
- DSA - Merge Sort Algorithm
- DSA - Shell Sort Algorithm
- DSA - Heap Sort Algorithm
- DSA - Bucket Sort Algorithm
- DSA - Counting Sort Algorithm
- DSA - Radix Sort Algorithm
- DSA - Quick Sort Algorithm
- Matrices Data Structure
- DSA - Matrices Data Structure
- DSA - Lup Decomposition In Matrices
- DSA - Lu Decomposition In Matrices
- Graph Data Structure
- DSA - Graph Data Structure
- DSA - Depth First Traversal
- DSA - Breadth First Traversal
- DSA - Spanning Tree
- DSA - Topological Sorting
- DSA - Strongly Connected Components
- DSA - Biconnected Components
- DSA - Augmenting Path
- DSA - Network Flow Problems
- DSA - Flow Networks In Data Structures
- DSA - Edmonds Blossom Algorithm
- DSA - Maxflow Mincut Theorem
- Tree Data Structure
- DSA - Tree Data Structure
- DSA - Tree Traversal
- DSA - Binary Search Tree
- DSA - AVL Tree
- DSA - Red Black Trees
- DSA - B Trees
- DSA - B+ Trees
- DSA - Splay Trees
- DSA - Range Queries
- DSA - Segment Trees
- DSA - Fenwick Tree
- DSA - Fusion Tree
- DSA - Hashed Array Tree
- DSA - K-Ary Tree
- DSA - Kd Trees
- DSA - Priority Search Tree Data Structure
- Recursion
- DSA - Recursion Algorithms
- DSA - Tower of Hanoi Using Recursion
- DSA - Fibonacci Series Using Recursion
- Divide and Conquer
- DSA - Divide and Conquer
- DSA - Max-Min Problem
- DSA - Strassen's Matrix Multiplication
- DSA - Karatsuba Algorithm
- Greedy Algorithms
- DSA - Greedy Algorithms
- DSA - Travelling Salesman Problem (Greedy Approach)
- DSA - Prim's Minimal Spanning Tree
- DSA - Kruskal's Minimal Spanning Tree
- DSA - Dijkstra's Shortest Path Algorithm
- DSA - Map Colouring Algorithm
- DSA - Fractional Knapsack Problem
- DSA - Job Sequencing with Deadline
- DSA - Optimal Merge Pattern Algorithm
- Dynamic Programming
- DSA - Dynamic Programming
- DSA - Matrix Chain Multiplication
- DSA - Floyd Warshall Algorithm
- DSA - 0-1 Knapsack Problem
- DSA - Longest Common Sub-sequence Algorithm
- DSA - Travelling Salesman Problem (Dynamic Approach)
- Hashing
- DSA - Hashing Data Structure
- DSA - Collision In Hashing
- Disjoint Set
- DSA - Disjoint Set
- DSA - Path Compression And Union By Rank
- Heap
- DSA - Heap Data Structure
- DSA - Binary Heap
- DSA - Binomial Heap
- DSA - Fibonacci Heap
- Tries Data Structure
- DSA - Tries
- DSA - Standard Tries
- DSA - Compressed Tries
- DSA - Suffix Tries
- Treaps
- DSA - Treaps Data Structure
- Bit Mask
- DSA - Bit Mask In Data Structures
- Bloom Filter
- DSA - Bloom Filter Data Structure
- Approximation Algorithms
- DSA - Approximation Algorithms
- DSA - Vertex Cover Algorithm
- DSA - Set Cover Problem
- DSA - Travelling Salesman Problem (Approximation Approach)
- Randomized Algorithms
- DSA - Randomized Algorithms
- DSA - Randomized Quick Sort Algorithm
- DSA - Karger’s Minimum Cut Algorithm
- DSA - Fisher-Yates Shuffle Algorithm
- Miscellaneous
- DSA - Infix to Postfix
- DSA - Bellmon Ford Shortest Path
- DSA - Maximum Bipartite Matching
- DSA Useful Resources
- DSA - Questions and Answers
- DSA - Selection Sort Interview Questions
- DSA - Merge Sort Interview Questions
- DSA - Insertion Sort Interview Questions
- DSA - Heap Sort Interview Questions
- DSA - Bubble Sort Interview Questions
- DSA - Bucket Sort Interview Questions
- DSA - Radix Sort Interview Questions
- DSA - Cycle Sort Interview Questions
- DSA - Quick Guide
- DSA - Useful Resources
- DSA - Discussion
Heap Sort Algorithm
Heap Sort is an efficient sorting technique based on the heap data structure.
The heap is a nearly-complete binary tree where the parent node could either be minimum or maximum. The heap with minimum root node is called min-heap and the root node with maximum root node is called max-heap. The elements in the input data of the heap sort algorithm are processed using these two methods.
The heap sort algorithm follows two main operations in this procedure −
Builds a heap H from the input data using the heapify (explained further into the chapter) method, based on the way of sorting ascending order or descending order.
Deletes the root element of the root element and repeats until all the input elements are processed.
The heap sort algorithm heavily depends upon the heapify method of the binary tree. So what is this heapify method?
Heapify Method
The heapify method of a binary tree is to convert the tree into a heap data structure. This method uses recursion approach to heapify all the nodes of the binary tree.
Note − The binary tree must always be a complete binary tree as it must have two children nodes always.
The complete binary tree will be converted into either a max-heap or a min-heap by applying the heapify method.
To know more about the heapify algorithm, please click here.
Heap Sort Algorithm
As described in the algorithm below, the sorting algorithm first constructs the heap ADT by calling the Build-Max-Heap algorithm and removes the root element to swap it with the minimum valued node at the leaf. Then the heapify method is applied to rearrange the elements accordingly.
Algorithm: Heapsort(A) BUILD-MAX-HEAP(A) for i = A.length downto 2 exchange A[1] with A[i] A.heap-size = A.heap-size - 1 MAX-HEAPIFY(A, 1)
Analysis
The heap sort algorithm is the combination of two other sorting algorithms: insertion sort and merge sort.
The similarities with insertion sort include that only a constant number of array elements are stored outside the input array at any time.
The time complexity of the heap sort algorithm is O(nlogn), similar to merge sort.
Example
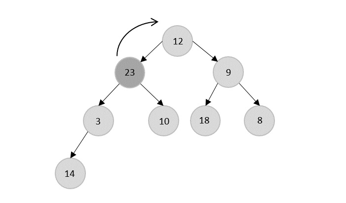
Let us look at an example array to understand the sort algorithm better −
| 12 | 3 | 9 | 14 | 10 | 18 | 8 | 23 |
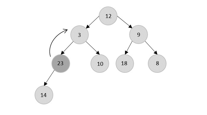
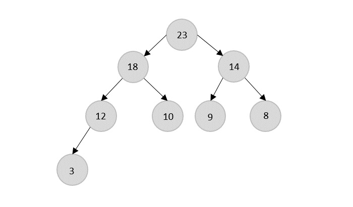
Building a heap using the BUILD-MAX-HEAP algorithm from the input array −
Rearrange the obtained binary tree by exchanging the nodes such that a heap data structure is formed.
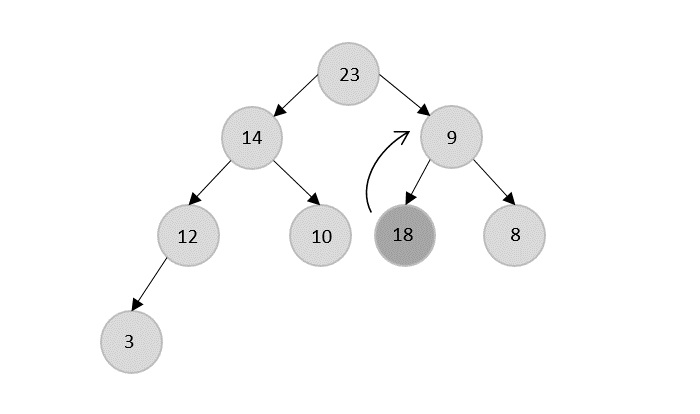
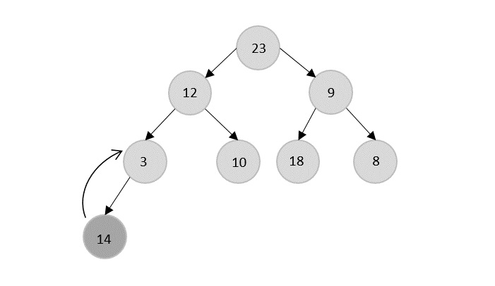
The Heapify Algorithm
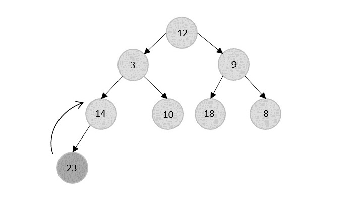
Applying the heapify method, remove the root node from the heap and replace it with the next immediate maximum valued child of the root.
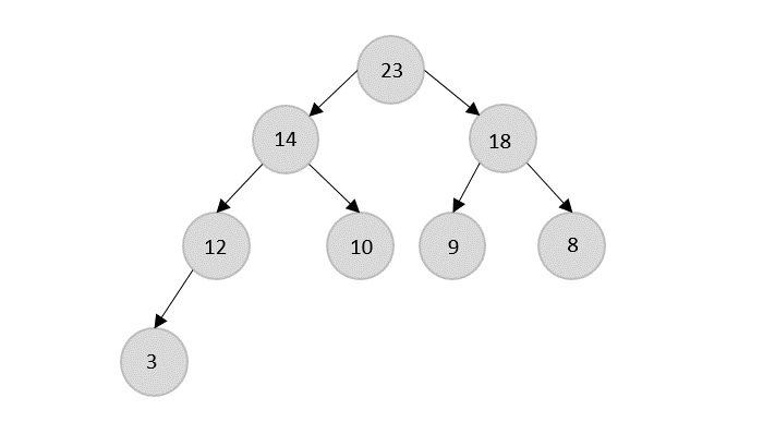
The root node is 23, so 23 is popped and 18 is made the next root because it is the next maximum node in the heap.
Now, 18 is popped after 23 which is replaced by 14.
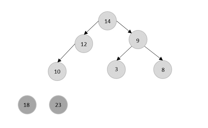
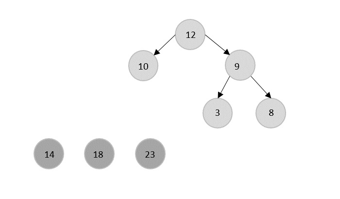
The current root 14 is popped from the heap and is replaced by 12.
12 is popped and replaced with 10.
Similarly all the other elements are popped using the same process.
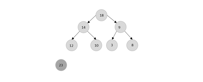
Here the current root element 9 is popped and the elements 8 and 3 are remained in the tree.
Then, 8 will be popped leaving 3 in the tree.
After completing the heap sort operation on the given heap, the sorted elements are displayed as shown below −
Every time an element is popped, it is added at the beginning of the output array since the heap data structure formed is a max-heap. But if the heapify method converts the binary tree to the min-heap, add the popped elements are on the end of the output array.
The final sorted list is,
| 3 | 8 | 9 | 10 | 12 | 14 | 18 | 23 |
Implementation
The logic applied on the implementation of the heap sort is: firstly, the heap data structure is built based on the max-heap property where the parent nodes must have greater values than the child nodes. Then the root node is popped from the heap and the next maximum node on the heap is shifted to the root. The process is continued iteratively until the heap is empty.
In this tutorial, we show the heap sort implementation in four different programming languages.
#include <stdio.h>
void heapify(int[], int);
void build_maxheap(int heap[], int n){
int i, j, c, r, t;
for (i = 1; i < n; i++) {
c = i;
do {
r = (c - 1) / 2;
if (heap[r] < heap[c]) { // to create MAX heap array
t = heap[r];
heap[r] = heap[c];
heap[c] = t;
}
c = r;
} while (c != 0);
}
printf("Heap array: ");
for (i = 0; i < n; i++)
printf("%d ", heap[i]);
heapify(heap, n);
}
void heapify(int heap[], int n){
int i, j, c, root, temp;
for (j = n - 1; j >= 0; j--) {
temp = heap[0];
heap[0] = heap[j]; // swap max element with rightmost leaf element
heap[j] = temp;
root = 0;
do {
c = 2 * root + 1; // left node of root element
if ((heap[c] < heap[c + 1]) && c < j-1)
c++;
if (heap[root]<heap[c] && c<j) { // again rearrange to max heap array
temp = heap[root];
heap[root] = heap[c];
heap[c] = temp;
}
root = c;
} while (c < j);
}
printf("\nThe sorted array is: ");
for (i = 0; i < n; i++)
printf("%d ", heap[i]);
}
int main(){
int n, i, j, c, root, temp;
n = 5;
int heap[10] = {2, 3, 1, 0, 4}; // initialize the array
build_maxheap(heap, n);
}
Output
Heap array: 4 3 1 0 2 The sorted array is: 0 1 2 3 4
#include <iostream>
using namespace std;
void heapify(int[], int);
void build_maxheap(int heap[], int n){
int i, j, c, r, t;
for (i = 1; i < n; i++) {
c = i;
do {
r = (c - 1) / 2;
if (heap[r] < heap[c]) { // to create MAX heap array
t = heap[r];
heap[r] = heap[c];
heap[c] = t;
}
c = r;
} while (c != 0);
}
cout << "Heap array: ";
for (i = 0; i < n; i++)
cout <<heap[i]<<" ";
heapify(heap, n);
}
void heapify(int heap[], int n){
int i, j, c, root, temp;
for (j = n - 1; j >= 0; j--) {
temp = heap[0];
heap[0] = heap[j]; // swap max element with rightmost leaf element
heap[j] = temp;
root = 0;
do {
c = 2 * root + 1; // left node of root element
if ((heap[c] < heap[c + 1]) && c < j-1)
c++;
if (heap[root]<heap[c] && c<j) { // again rearrange to max heap array
temp = heap[root];
heap[root] = heap[c];
heap[c] = temp;
}
root = c;
} while (c < j);
}
cout << "\nThe sorted array is : ";
for (i = 0; i < n; i++)
cout <<heap[i]<<" ";
}
int main(){
int n, i, j, c, root, temp;
n = 5;
int heap[10] = {2, 3, 1, 0, 4}; // initialize the array
build_maxheap(heap, n);
return 0;
}
Output
Heap array: 4 3 1 0 2 The sorted array is : 0 1 2 3 4
import java.io.*;
public class HeapSort {
static void build_maxheap(int heap[], int n) {
for (int i = 1; i < n; i++) {
int c = i;
do {
int r = (c - 1) / 2;
if (heap[r] < heap[c]) { // to create MAX heap array
int t = heap[r];
heap[r] = heap[c];
heap[c] = t;
}
c = r;
} while (c != 0);
}
System.out.println("Heap array: ");
for (int i = 0; i < n; i++) {
System.out.print(heap[i] + " ");
}
heapify(heap, n);
}
static void heapify(int heap[], int n) {
for (int j = n - 1; j >= 0; j--) {
int c;
int temp = heap[0];
heap[0] = heap[j]; // swap max element with rightmost leaf element
heap[j] = temp;
int root = 0;
do {
c = 2 * root + 1; // left node of root element
if ((heap[c] < heap[c + 1]) && c < j-1)
c++;
if (heap[root]<heap[c] && c<j) { // again rearrange to max heap array
temp = heap[root];
heap[root] = heap[c];
heap[c] = temp;
}
root = c;
} while (c < j);
}
System.out.println("\nThe sorted array is: ");
for (int i = 0; i < n; i++) {
System.out.print(heap[i] + " ");
}
}
public static void main(String args[]) {
int heap[] = new int[10];
heap[0] = 4;
heap[1] = 3;
heap[2] = 1;
heap[3] = 0;
heap[4] = 2;
int n = 5;
build_maxheap(heap, n);
}
}
Output
Heap array: 4 3 1 0 2 The sorted array is: 0 1 2 3 4
def heapify(heap, n, i):
maximum = i
l = 2 * i + 1
r = 2 * i + 2
# if left child exists
if l < n and heap[i] < heap[l]:
maximum = l
# if right child exits
if r < n and heap[maximum] < heap[r]:
maximum = r
# root
if maximum != i:
heap[i],heap[maximum] = heap[maximum],heap[i] # swap root.
heapify(heap, n, maximum)
def heapSort(heap):
n = len(heap)
# maxheap
for i in range(n, -1, -1):
heapify(heap, n, i)
# element extraction
for i in range(n-1, 0, -1):
heap[i], heap[0] = heap[0], heap[i] # swap
heapify(heap, i, 0)
# main
heap = [4, 3, 1, 0, 2]
heapSort(heap)
n = len(heap)
print("Heap array: ")
print(heap)
print ("The Sorted array is: ")
print(heap)
Output
Heap array: [0, 1, 2, 3, 4] The Sorted array is: [0, 1, 2, 3, 4]