- Compiler Design - Home
- Compiler Design - Overview
- Compiler Design - Architecture
- Phases
- Compiler Design - Phases
- Compiler Design - Global Optimization
- Compiler Design - Local Optimization
- Lexical Analysis
- Compiler Design - Lexical Analysis
- Compiler Design - Regular Expressions
- Compiler Design - Finite Automata
- Compiler Design - Language Elements
- Compiler Design - Lexical Tokens
- Compiler Design - FSM
- Compiler Design - Lexical Table
- Compiler Design - Sequential Search
- Compiler Design - Binary Search Tree
- Compiler Design - Hash Table
- Syntax Analysis
- Compiler Design - Syntax Analysis
- Compiler Design - Parsing Types
- Compiler Design - Grammars
- Compiler Design - Classes Grammars
- Compiler Design - Pushdown Automata
- Compiler Design - Ambiguous Grammar
- Parsing
- Compiler Design - Top-Down Parser
- Compiler Design - Bottom-Up Parser
- Compiler Design - Simple Grammar
- Compiler Design - Quasi-Simple Grammar
- Compiler Design - LL(1) Grammar
- Error Recovery
- Compiler Design - Error Recovery
- Semantic Analysis
- Compiler Design - Semantic Analysis
- Compiler Design - Symbol Table
- Run Time
- Compiler Design - Run-time Environment
- Code Generation
- Compiler Design - Code Generation
- Converting Atoms to Instructions
- Compiler Design - Transfer of Control
- Compiler Design - Register Allocation
- Forward Transfer of Control
- Reverse Transfer of Control
- Code Optimization
- Compiler Design - Code Optimization
- Compiler Design - Intermediate Code
- Basic Blocks and DAGs
- Control Flow Graph
- Compiler Design - Peephole Optimization
- Implementing Translation Grammars
- Compiler Design - Attributed Grammars
Quasi-Simple Grammars in Compiler Design
There are different types of grammars that we use in the top-down parsing strategy used in compiler design. As we know, grammars serve as the backbone for defining the syntax and structure of programming languages. Among them, simple grammars provide an easy-to-parse and unambiguous structure, making them ideal for introducing fundamental parsing concepts. However, their strict rules limit their practical use in real-world scenarios.
To address these limitations, a more flexible type of grammar, known as quasi-simple grammars, is introduced. These grammars retain the simplicity needed for efficient parsing while offering greater flexibility in language representation.
In this chapter, we will explore the concept of quasi-simple grammars, examine their structure, and understand how they extend the functionality of simple grammars.
What are Quasi-Simple Grammars?
Quasi-simple grammars are a type of context-free grammar that build upon simple grammars. They relax some of the strict constraints used by simple grammars. Specifically, quasi-simple grammars permit overlapping rules for non-terminals. This is provided the grammar can be parsed unambiguously.
Characteristics of Quasi-Simple Grammars
Here are the main characteristics of quasi-simple grammars −
- Relaxed Rule Constraints − Unlike simple grammars, the rules for a nonterminal can begin with the same terminal symbol. This is provided parsing remains deterministic.
- Moderate Parsing Complexity − Quasi-simple grammars are slightly more complex to parse than simple grammars but significantly easier than general context-free grammars.
- Broader Applicability − They allow for more complex language constructs. For instance nested or dependent structures.
Differences between Simple and Quasi-Simple Grammars
To better understand quasi-simple grammars, let us compare them with simple grammars −
| Feature | Simple Grammar | Quasi-Simple Grammar |
|---|---|---|
| Rule Starting Symbols | Must be distinct for each nonterminal | Can overlap under specific conditions |
| Parsing | Very straightforward | Slightly more complex but efficient |
| Applications | Limited | Broader, supports moderate complexity |
Simple grammars are highly restrictive, but quasi-simple grammars strike a balance between simplicity and flexibility, which makes them more practical for a wider range of use cases.
Structure of Quasi-Simple Grammars
In a quasi-simple grammar the production rules allow overlaps in starting symbols for a nonterminal. But, for an efficient parsing, these grammars rely on additional mechanisms like as lookahead parsing or stack-based processing.
Example: Quasi-Simple Grammar G1
Consider the following grammar, G1 −
G1: S → a S b S → a b S →
Here, we can see there are multiple rules for S begin with the terminal a. This overlap makes the grammar quasi-simple rather than strictly simple. Parsing such a grammar requires analyzing the input further (This is called looking ahead) to decide which rule to apply.
Parsing Quasi-Simple Grammars
The parsing procedure for a quasi-simple grammar is slightly more complex than parsing a simple grammar. Techniques such as lookahead parsing and stack-based parsing are used. They show that parsing remains efficient and deterministic.
- Lookahead Parsing − The parser checks one or more symbols ahead in the input to determine the appropriate production rule. This approach is effective when overlapping rules can be distinguished by the next input symbol(s).
- Stack-Based Parsing − A stack is used to manage intermediate symbols and handle nested structures. Symbols are pushed onto the stack as they are processed and popped when matched with input.
Example: Parsing with Quasi-Simple Grammar G1
Let us parse the input string "aaabbb" using grammar G1.
Step-by-Step Derivation
Step 1 − Start with the nonterminal S. The first input symbol is a, so apply rule 1 −
S → a S b
The input becomes a (S) b.
Step 2 − Expand the second S. The next input symbol is still a, so apply rule 1 again −
S → a S b
The input becomes a (a (S) b) b.
Step 3: Expand the third S. The next input symbol is b, so apply rule 2 −
S → a b
The input becomes a (a (a b) b) b.
Step 4 − Combine everything to form the final string −
aaabbb
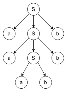
Derivation Tree
The derivation tree for this input is −
This tree demonstrates how quasi-simple grammars handle overlapping rules but it is maintaining an unambiguous structure.
Applications of Quasi-Simple Grammars
Quasi-simple grammars are useful in scenarios when simple grammars fall short but full context-free grammars are unnecessary. Some common applications are −
- Intermediate Parsing − Quasi-simple grammars are used in intermediate stages of parsing. This is where the language is more complex than simple grammars can handle it but still manageable.
- Nested Structures − They are suitable for languages with moderate nesting. Such as balanced parentheses or conditionals.
- Expression Parsing − Quasi-simple grammars can handle arithmetic expressions with nested operations. This is making them useful in mathematical or programming language parsers.
For example, a quasi-simple grammar could parse a language construct like −
if (x > 0) {
if (y > 0) {
print("Positive");
}
}
Here, the overlapping rules for if statements can be managed using look ahead parsing.
Advantages of Quasi-Simple Grammars
Quasi-simple grammars offer several benefits as given below:
- Flexibility − They gives more complex structures than simple grammars.
- Efficient Parsing − Despite being more complex the quasi-simple grammars are still easier to parse. These are simpler than general context-free grammars.
- Broader Applications − They strike a balance between simplicity and expressiveness. This is making them suitable for a variety of programming language constructs.
Limitations of Quasi-Simple Grammars
Quasi-simple grammars suffer from the following limitations −
- Increased Parsing Complexity − Compared to simple grammars, quasi-simple grammars require more sophisticated parsing techniques.
- Potential Ambiguity − If not designed carefully, quasi-simple grammars can introduce ambiguity.
- Limited Expressiveness − While more expressive than simple grammars, the quasi-simple grammars cannot describe all context-free languages.
Quasi-simple Grammars: Real-World Relevance
Quasi-simple grammars are particularly valuable in the syntax analysis phase of compilers. They can provide a middle ground between the strict rules of simple grammars and the unrestricted nature of general context-free grammars.
For example − In lexical analysis, the quasi-simple grammars can define patterns like identifiers and keywords. In syntax analysis, they can handle moderately nested constructs such as loops, conditionals, or function calls.
Conclusion
In this chapter, we explored the concept of quasi-simple grammars and their significance in compiler design. We examined how they extend simple grammars by allowing overlapping rules for non-terminals, enabling them to handle more complex language constructs.
Through examples, we saw how quasi-simple grammars balance simplicity and flexibility to facilitate efficient parsing. Quasi-simple grammars provide a practical approach to describing moderately complex languages without the full complexity of general context-free grammars.