- Compiler Design - Home
- Compiler Design - Overview
- Compiler Design - Architecture
- Phases
- Compiler Design - Phases
- Compiler Design - Global Optimization
- Compiler Design - Local Optimization
- Lexical Analysis
- Compiler Design - Lexical Analysis
- Compiler Design - Regular Expressions
- Compiler Design - Finite Automata
- Compiler Design - Language Elements
- Compiler Design - Lexical Tokens
- Compiler Design - FSM
- Compiler Design - Lexical Table
- Compiler Design - Sequential Search
- Compiler Design - Binary Search Tree
- Compiler Design - Hash Table
- Syntax Analysis
- Compiler Design - Syntax Analysis
- Compiler Design - Parsing Types
- Compiler Design - Grammars
- Compiler Design - Classes Grammars
- Compiler Design - Pushdown Automata
- Compiler Design - Ambiguous Grammar
- Parsing
- Compiler Design - Top-Down Parser
- Compiler Design - Bottom-Up Parser
- Compiler Design - Simple Grammar
- Compiler Design - Quasi-Simple Grammar
- Compiler Design - LL(1) Grammar
- Error Recovery
- Compiler Design - Error Recovery
- Semantic Analysis
- Compiler Design - Semantic Analysis
- Compiler Design - Symbol Table
- Run Time
- Compiler Design - Run-time Environment
- Code Generation
- Compiler Design - Code Generation
- Converting Atoms to Instructions
- Compiler Design - Transfer of Control
- Compiler Design - Register Allocation
- Forward Transfer of Control
- Reverse Transfer of Control
- Code Optimization
- Compiler Design - Code Optimization
- Compiler Design - Intermediate Code
- Basic Blocks and DAGs
- Control Flow Graph
- Compiler Design - Peephole Optimization
- Implementing Translation Grammars
- Compiler Design - Attributed Grammars
Ambiguous Grammar in Compiler Design
In compiler design, the compilation process follows a series of phases to translate a program into a specific programming language. In syntax analysis, a critical goal is to ensure clarity, so the language avoids confusion for both developers and compilers. This is achieved by ensuring that each piece of code has only one possible interpretation. However, some grammars that define programming languages are inherently ambiguous, meaning a single string of code can generate multiple valid derivation trees, potentially leading to different interpretations.
Ambiguity in a language can result in compilation errors, inconsistent execution, or unnecessary complexity for developers. In this chapter, we will explore the concept of ambiguity in programming languages, examine its causes, and discuss various methods to resolve it, supported by examples for better understanding.
What is Ambiguity in Programming Languages?
In the context of compiler design, a grammar can be treated or considered as ambiguous if there exists at least one string of input that can generate multiple valid derivation trees. These derivation trees represent the syntactic structure of the input based on the rules defined by the grammars. If multiple trees can be generated, the meaning becomes unclear.
Consider the expression (var + var * var). Does the addition takes place first, or should multiplication take precedence? Since nothing is given there as additional input, compilers may interpret this differently. And this may be leading to unpredictable results.
Causes of Ambiguity
There are many such things which lead to make ambiguity in programming languages −
- Undefined Operator Precedence − When grammars do not specify the order in which operators should be evaluated, ambiguity may come.
- The Dangling Else Problem − Ambiguity in associating an else clause with one of several if statements.
- Multiple Derivation Paths − When a grammar allows multiple sequences of rule applications to produce the same string.
Example 1: Ambiguity in Arithmetic Expressions
Consider the grammar G1, which defines arithmetic expressions using addition and multiplication −
G1: Expr → Expr + Expr Expr → Expr * Expr Expr → var
This grammar is ambiguous. For the input (var + var * var), two derivation trees are possible −
Derivation Tree 1: Multiplication First
Derivation Tree 2: Addition First
The two derivation trees represent different evaluation orders. And they are producing different results.
Resolving Ambiguity
To eliminate ambiguity, we can rewrite the grammar to enforce operator precedence. For example, multiplication should take precedence over addition. Here the revised grammar, G2, achieves this −
G2: Expr → Expr + Term Expr → Term Term → Term * Factor Term → Factor Factor → ( Expr ) Factor → var Factor → const
Using G2, the input var + var * var has only one valid derivation tree −
This tree ensures that multiplication occurs before addition, as expected.
Example 2: The Dangling Else Problem
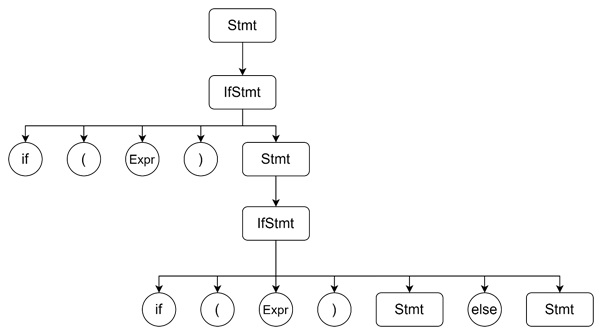
Another classical ambiguity problem arises in conditional statements. Consider the following grammar G3 for if-else statements −
G3: Stmt → IfStmt IfStmt → if ( BoolExpr ) Stmt IfStmt → if ( BoolExpr ) Stmt else Stmt
For the input "if (Expr) if (Expr) Stmt else Stmt", two possible derivation trees exist −
Tree 1: The else Associates with the Closest if
Tree 2: The else Associates with the Outer if
Resolving the Ambiguity
To resolve this ambiguity, we can rewrite the grammar to distinguish between if-else statements with and without a matching else. Now this revised grammar, G4, achieves this by introducing new nonterminals. This is for matched and unmatched if statements −
G4: Stmt → IfStmt IfStmt → Matched IfStmt → Unmatched Matched → if ( BoolExpr ) Matched else Matched Matched → OtherStmt Unmatched → if ( BoolExpr ) Stmt Unmatched → if ( BoolExpr ) Matched else Unmatched
Now, for the same input string, only one valid derivation tree exists. And this is ensuring that the else always associates with the closest unmatched if.
Effects of Ambiguity in Programming Languages
Ambiguity can lead to several problems −
- Compilation Errors − Ambiguous grammars make it harder for compilers to generate correct syntax trees.
- Inconsistent Behavior − Code may behave differently depending on the compiler.
- Developer Confusion − Ambiguity in syntax can make code harder to read and understand.
Strategies for Eliminating Ambiguity
Given below are some strategies for eliminating ambiguity −
- Rewriting Grammars − As seen in examples G2 and G4, rewriting grammars can resolve ambiguities. This can be done by enforcing precedence or associativity rules.
- Explicit Parentheses − Requiring parentheses in expressions avoids ambiguity. For example, (a + b) * c is unambiguous.
- Language Specifications − Clear rules, such as "an else always belongs to the nearest if," reduce confusion.
Real-World Applications
Ambiguity resolution is essential in real world applications. Such as −
- Arithmetic Parsing − Ensuring correct evaluation order for expressions in programming languages like Java or Python.
- Conditional Statements − Avoiding errors in nested if-else structures.
- Compiler Tools − Parser generators like YACC and ANTLR rely on unambiguous grammars for building syntax trees.
Conclusion
In this chapter, we explored the concept of ambiguity in programming languages and its impact on compiler design. Using examples such as arithmetic expressions and the "dangling else problem", we examined how ambiguous grammars can lead to multiple interpretations of the same input. We also discussed how rewriting grammars and enforcing precedence rules can resolve ambiguity.
In conclusion, while ambiguity poses a challenge in language design, it can be effectively addressed through careful planning and well-defined grammatical rules.