- Automata Theory - Applications
- Automata Terminology
- Basics of String in Automata
- Set Theory for Automata
- Finite Sets and Infinite Sets
- Algebraic Operations on Sets
- Relations Sets in Automata Theory
- Graph and Tree in Automata Theory
- Transition Table in Automata
- What is Queue Automata?
- Compound Finite Automata
- Complementation Process in DFA
- Closure Properties in Automata
- Concatenation Process in DFA
- Language and Grammars
- Language and Grammar
- Grammars in Theory of Computation
- Language Generated by a Grammar
- Chomsky Classification of Grammars
- Context-Sensitive Languages
- Finite Automata
- What is Finite Automata?
- Finite Automata Types
- Applications of Finite Automata
- Limitations of Finite Automata
- Two-way Deterministic Finite Automata
- Deterministic Finite Automaton (DFA)
- Non-deterministic Finite Automaton (NFA)
- NDFA to DFA Conversion
- Equivalence of NFA and DFA
- Dead State in Finite Automata
- Minimization of DFA
- Automata Moore Machine
- Automata Mealy Machine
- Moore vs Mealy Machines
- Moore to Mealy Machine
- Mealy to Moore Machine
- Myhill–Nerode Theorem
- Mealy Machine for 1’s Complement
- Finite Automata Exercises
- Complement of DFA
- Regular Expressions
- Regular Expression in Automata
- Regular Expression Identities
- Applications of Regular Expression
- Regular Expressions vs Regular Grammar
- Kleene Closure in Automata
- Arden’s Theorem in Automata
- Convert Regular Expression to Finite Automata
- Conversion of Regular Expression to DFA
- Equivalence of Two Finite Automata
- Equivalence of Two Regular Expressions
- Convert Regular Expression to Regular Grammar
- Convert Regular Grammar to Finite Automata
- Pumping Lemma in Theory of Computation
- Pumping Lemma for Regular Grammar
- Pumping Lemma for Regular Expression
- Pumping Lemma for Regular Languages
- Applications of Pumping Lemma
- Closure Properties of Regular Set
- Closure Properties of Regular Language
- Decision Problems for Regular Languages
- Decision Problems for Automata and Grammars
- Conversion of Epsilon-NFA to DFA
- Regular Sets in Theory of Computation
- Context-Free Grammars
- Context-Free Grammars (CFG)
- Derivation Tree
- Parse Tree
- Ambiguity in Context-Free Grammar
- CFG vs Regular Grammar
- Applications of Context-Free Grammar
- Left Recursion and Left Factoring
- Closure Properties of Context Free Languages
- Simplifying Context Free Grammars
- Removal of Useless Symbols in CFG
- Removal Unit Production in CFG
- Removal of Null Productions in CFG
- Linear Grammar
- Chomsky Normal Form (CNF)
- Greibach Normal Form (GNF)
- Pumping Lemma for Context-Free Grammars
- Decision Problems of CFG
- Pushdown Automata
- Pushdown Automata (PDA)
- Pushdown Automata Acceptance
- Deterministic Pushdown Automata
- Non-deterministic Pushdown Automata
- Construction of PDA from CFG
- CFG Equivalent to PDA Conversion
- Pushdown Automata Graphical Notation
- Pushdown Automata and Parsing
- Two-stack Pushdown Automata
- Turing Machines
- Basics of Turing Machine (TM)
- Representation of Turing Machine
- Examples of Turing Machine
- Turing Machine Accepted Languages
- Variations of Turing Machine
- Multi-tape Turing Machine
- Multi-head Turing Machine
- Multitrack Turing Machine
- Non-Deterministic Turing Machine
- Semi-Infinite Tape Turing Machine
- K-dimensional Turing Machine
- Enumerator Turing Machine
- Universal Turing Machine
- Restricted Turing Machine
- Convert Regular Expression to Turing Machine
- Two-stack PDA and Turing Machine
- Turing Machine as Integer Function
- Post–Turing Machine
- Turing Machine for Addition
- Turing Machine for Copying Data
- Turing Machine as Comparator
- Turing Machine for Multiplication
- Turing Machine for Subtraction
- Modifications to Standard Turing Machine
- Linear-Bounded Automata (LBA)
- Church's Thesis for Turing Machine
- Recursively Enumerable Language
- Computability & Undecidability
- Turing Language Decidability
- Undecidable Languages
- Turing Machine and Grammar
- Kuroda Normal Form
- Converting Grammar to Kuroda Normal Form
- Decidability
- Undecidability
- Reducibility
- Halting Problem
- Turing Machine Halting Problem
- Rice's Theorem in Theory of Computation
- Post’s Correspondence Problem (PCP)
- Types of Functions
- Recursive Functions
- Injective Functions
- Surjective Function
- Bijective Function
- Partial Recursive Function
- Total Recursive Function
- Primitive Recursive Function
- μ Recursive Function
- Ackermann’s Function
- Russell’s Paradox
- Gödel Numbering
- Recursive Enumerations
- Kleene's Theorem
- Kleene's Recursion Theorem
- Advanced Concepts
- Matrix Grammars
- Probabilistic Finite Automata
- Cellular Automata
- Reduction of CFG
- Reduction Theorem
- Regular expression to ∈-NFA
- Quotient Operation
- Parikh’s Theorem
- Ladner’s Theorem
Dead State in Finite Automata
Finite automata are used to represent and recognize regular languages, patterns, and define languages. Among the various states in finite automata, the concept of a "dead state" is particularly important. In this chapter, we will explain in detail what is meant by dead state and what are its effects in designing finite automata system are.
Understanding Finite Automata
Let us recap the concept of finite automata a little. This will need to understand the concept of dead states. A finite automaton is a mathematical model consisting of −
- A finite set of states (Q)
- A finite set of input symbols (Σ)
- A transition function (δ)
- A start state (q0)
- A set of accept states (F)
Finite automata processes input symbols and transitions between states based on a transition function. If the automaton ends in an accept state, the input string is considered accepted.
There are two main types of finite automata: the deterministic finite automata where each state has one transition for each input symbol, and nondeterministic finite automata, which allows multiple transitions for a single input symbol.
What is a Dead State?
In graphs we see some pendent vertices. Here these are known as dead state. These are also known as a trap state. These are kind of state a finite automaton from which no accept state is reachable.
Once the automaton enters a dead state, it remains there regardless of the subsequent input symbols. We can say a dead state represents a failure or an unproductive path in the automaton's operation.
How to Identify a Dead State?
A state qd in a finite automaton is considered a dead state when, for every string w in the input alphabet Σ, the transition function δ leads qd to itself or to another dead state.
Formally, δ(qd, a) = qd for every a in Σ.
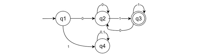
In this example, the state q4 can be considered as dead state. Here after we reach q4 by taking input 1 from q1, it has no other place to go for inputs 0 and 1.
Significance of Dead States
Dead states are sometimes useful in a transition system. Here we will explore some of them.
- In Automata Design − Dead states has an important role in the design of finite automata. They are used to explicitly handle invalid or unwanted input sequences. For dead state, by directing such path to it, the automaton can efficiently reject them without further processing.
- Error Detection − In practical applications, dead states are used to check the signal errors. For example, in lexical analysis, certain invalid sequences of characters can be directed to a dead state. This indicates the input string does not conform to the expected patterns.
- Simplifying Automaton Structure − The dead states can help to simplify the structure of an automaton. This can be done by grouping all invalid transitions into a single dead state, the automaton's transition table can be made more compact and easier to understand.
Conclusion
Dead states are a fundamental and important concept in finite automata. Dead states are important for handling invalid inputs and simplifying automaton design as we have seen in the article.
By understanding and utilizing dead states, it will be easier for the designer to make more efficient and robust finite automata for various applications, including programming language compilers etc.
Dead states in error detection and state minimization further highlights their importance in theoretical and practical aspects of automata theory.