- Automata Theory - Applications
- Automata Terminology
- Basics of String in Automata
- Set Theory for Automata
- Finite Sets and Infinite Sets
- Algebraic Operations on Sets
- Relations Sets in Automata Theory
- Graph and Tree in Automata Theory
- Transition Table in Automata
- What is Queue Automata?
- Compound Finite Automata
- Complementation Process in DFA
- Closure Properties in Automata
- Concatenation Process in DFA
- Language and Grammars
- Language and Grammar
- Grammars in Theory of Computation
- Language Generated by a Grammar
- Chomsky Classification of Grammars
- Context-Sensitive Languages
- Finite Automata
- What is Finite Automata?
- Finite Automata Types
- Applications of Finite Automata
- Limitations of Finite Automata
- Two-way Deterministic Finite Automata
- Deterministic Finite Automaton (DFA)
- Non-deterministic Finite Automaton (NFA)
- NDFA to DFA Conversion
- Equivalence of NFA and DFA
- Dead State in Finite Automata
- Minimization of DFA
- Automata Moore Machine
- Automata Mealy Machine
- Moore vs Mealy Machines
- Moore to Mealy Machine
- Mealy to Moore Machine
- Myhill–Nerode Theorem
- Mealy Machine for 1’s Complement
- Finite Automata Exercises
- Complement of DFA
- Regular Expressions
- Regular Expression in Automata
- Regular Expression Identities
- Applications of Regular Expression
- Regular Expressions vs Regular Grammar
- Kleene Closure in Automata
- Arden’s Theorem in Automata
- Convert Regular Expression to Finite Automata
- Conversion of Regular Expression to DFA
- Equivalence of Two Finite Automata
- Equivalence of Two Regular Expressions
- Convert Regular Expression to Regular Grammar
- Convert Regular Grammar to Finite Automata
- Pumping Lemma in Theory of Computation
- Pumping Lemma for Regular Grammar
- Pumping Lemma for Regular Expression
- Pumping Lemma for Regular Languages
- Applications of Pumping Lemma
- Closure Properties of Regular Set
- Closure Properties of Regular Language
- Decision Problems for Regular Languages
- Decision Problems for Automata and Grammars
- Conversion of Epsilon-NFA to DFA
- Regular Sets in Theory of Computation
- Context-Free Grammars
- Context-Free Grammars (CFG)
- Derivation Tree
- Parse Tree
- Ambiguity in Context-Free Grammar
- CFG vs Regular Grammar
- Applications of Context-Free Grammar
- Left Recursion and Left Factoring
- Closure Properties of Context Free Languages
- Simplifying Context Free Grammars
- Removal of Useless Symbols in CFG
- Removal Unit Production in CFG
- Removal of Null Productions in CFG
- Linear Grammar
- Chomsky Normal Form (CNF)
- Greibach Normal Form (GNF)
- Pumping Lemma for Context-Free Grammars
- Decision Problems of CFG
- Pushdown Automata
- Pushdown Automata (PDA)
- Pushdown Automata Acceptance
- Deterministic Pushdown Automata
- Non-deterministic Pushdown Automata
- Construction of PDA from CFG
- CFG Equivalent to PDA Conversion
- Pushdown Automata Graphical Notation
- Pushdown Automata and Parsing
- Two-stack Pushdown Automata
- Turing Machines
- Basics of Turing Machine (TM)
- Representation of Turing Machine
- Examples of Turing Machine
- Turing Machine Accepted Languages
- Variations of Turing Machine
- Multi-tape Turing Machine
- Multi-head Turing Machine
- Multitrack Turing Machine
- Non-Deterministic Turing Machine
- Semi-Infinite Tape Turing Machine
- K-dimensional Turing Machine
- Enumerator Turing Machine
- Universal Turing Machine
- Restricted Turing Machine
- Convert Regular Expression to Turing Machine
- Two-stack PDA and Turing Machine
- Turing Machine as Integer Function
- Post–Turing Machine
- Turing Machine for Addition
- Turing Machine for Copying Data
- Turing Machine as Comparator
- Turing Machine for Multiplication
- Turing Machine for Subtraction
- Modifications to Standard Turing Machine
- Linear-Bounded Automata (LBA)
- Church's Thesis for Turing Machine
- Recursively Enumerable Language
- Computability & Undecidability
- Turing Language Decidability
- Undecidable Languages
- Turing Machine and Grammar
- Kuroda Normal Form
- Converting Grammar to Kuroda Normal Form
- Decidability
- Undecidability
- Reducibility
- Halting Problem
- Turing Machine Halting Problem
- Rice's Theorem in Theory of Computation
- Post’s Correspondence Problem (PCP)
- Types of Functions
- Recursive Functions
- Injective Functions
- Surjective Function
- Bijective Function
- Partial Recursive Function
- Total Recursive Function
- Primitive Recursive Function
- μ Recursive Function
- Ackermann’s Function
- Russell’s Paradox
- Gödel Numbering
- Recursive Enumerations
- Kleene's Theorem
- Kleene's Recursion Theorem
- Advanced Concepts
- Matrix Grammars
- Probabilistic Finite Automata
- Cellular Automata
- Reduction of CFG
- Reduction Theorem
- Regular expression to ∈-NFA
- Quotient Operation
- Parikh’s Theorem
- Ladner’s Theorem
Language and Grammar in Automata Theory
In automata theory, languages and grammars are the most important concepts. Grammars are the most fundamental thing for human languages and computer languages as well.
In this chapter, we will see a basic overview of these crucial concepts, the definitions, examples and other important factors that are necessary to understand these in detail in the later chapters.
The Language in Formal Language Theory
A language can be defined as a set of strings over a given alphabet. This definition is true for human languages as well as computer languages. There are several components −
- Alphabet − A finite set of symbols
- String − A finite sequence of symbols from the alphabet
- Language − A (possibly infinite) set of strings over an alphabet
The Concept of Formal Languages
In computer science, we talk about the formal languages. This provides a rigorous framework for studying the properties and structures of languages. They are essential in computer science to make the syntax of programming languages and for analyzing the capabilities of different computational models.
Alphabets and strings are important components of formal languages. Let us discuss about them a little:
- Alphabet (Σ) − A non-empty finite set of symbols
- String − A finite sequence of symbols from Σ
- Empty string (ε) − The string containing no symbols (This is important into formal languages)
- Length of a string − The number of symbols in the string
Formal languages can be classified into four types: regular, context-free, context-sensitive and recursively enumerable languages. But having a knowledge about languages is not enough; we need to go with grammars as well.
Grammars in Automata Theory
In automata, the grammars are formal systems for describing the structure of languages. In grammar, there are set of rules for generating valid strings in a language.
Formally, we can define grammar like this. A grammar is a tuple G = (V, Σ, R, S), where:
- V is a finite set of variables (non-terminal symbols)
- Σ is a finite set of terminal symbols (the alphabet)
- R is a finite set of production rules
- S is the start symbol (S ∈ V)
Grammars are used to generate all valid strings in a language, it also provides a structural description of the language and serve as a basis for parsing and syntax analysis. Let us see the following table to understand different components of a grammar clearly.
| Component | Description | Example |
|---|---|---|
| Variables | Non-terminal symbols | A, B, C |
| Terminals | Symbols in the alphabet | a, b, c, 0, 1 |
| Production rules | Rules for string generation | A → aB, B → bC |
| Start symbol | Initial variable for derivations | S |
While we talk about grammars, it is necessary to understand two important concepts related to grammars –
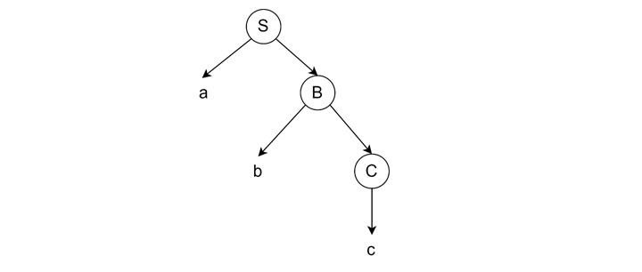
- Derivation − A sequence of rule applications that transform the start symbol into a string of terminal symbols
- Parse tree − A graphical representation of a derivation, showing the hierarchical structure of the generated string
Let us understand them through an example:
Producing string "abc" from rules {S, S → aB, B → bC, C → c}
Applications of Languages and Grammars
The study of languages and grammars has many such practical applications in computer science and linguistics.
| Field | Descriptions |
|---|---|
| Programming Languages |
|
| Natural Language Processing |
|
| Compiler Design |
|
Conclusion
Languages and Grammars play an important role in theory of computation. In this chapter, we presented an overview on languages and grammars where we covered the basics of languages and more specifically formal languages. In addition, we also highlighted the need of languages and grammars in different applications.