- SEO - Home
- SEO - What is SEO?
- SEO - Tactics & Methods
- SEO - On Page Techniques
- SEO - Off Page Techniques
- SEO - Web Site Domain
- SEO - Relevant Filenames
- SEO - Design & Layout
- SEO - Optimized Keywords
- SEO - Long-tail Keywords
- SEO - Title Tags
- SEO - Meta Description
- SEO - Optimized Metatags
- SEO - Optimize for Google
- SEO - Robots.txt
- SEO - URL Structure
- SEO - Headings
- SEO - Redirects
- SEO - Authority & Trust
- SEO - PDF Files
- SEO - Optimized Anchor
- SEO - Optimize Images
- SEO - Duplicate Content
- SEO - Meta Robots Tag
- SEO - Nofollow Links
- SEO - XML Sitemap
- SEO - Canonical URL
- SEO - Role of UI/UX
- SEO - Keyword Gap Analysis
- SEO - Get Quality Backlinks
- SEO - Adding Schema Markup
- SEO - Author Authority
- SEO - Fix Broken Links
- SEO - Internal Page Linking
- SEO - Clean Up Toxic Links
- SEO - Earn Authority Backlinks
- SEO - Core Web Vitals
- SEO - Update Old Content
- SEO - Fill Content Gaps
- SEO - Link Building
- SEO - Featured Snippets
- SEO - Remove URLS from Google
- SEO - Content is the King
- SEO - Verifying Web Site
- SEO - Multiple Media Types
- SEO - Google Passage Ranking
- SEO - Maximize Social Shares
- SEO - First Link Priority Rule
- SEO - Optimize Page Load Time
- SEO - Hiring an Expert
- SEO - Learn EAT Principle
- SEO - Mobile SEO Techniques
- SEO - Avoid Negative Tactics
- SEO - Misc Techniques
- SEO - Continuous Site Audit
- SEO - Summary
- SEO Useful Resources
- SEO - Quick Guide
- SEO - Useful Resources
- SEO - Discussion
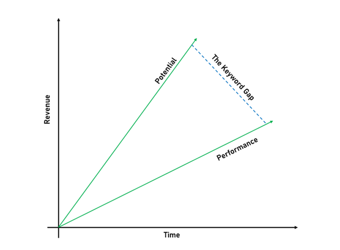
SEO - Keyword Gap Analysis
Introduction
A keyword gap analysis is an effective SEO tactic for finding keyword possibilities and gaining a competitive edge in search engine results pages (SERP). You can discover opportunities to optimize your website and draw in targeted organic traffic by looking at your competitors' keywords and analyzing the domain you are trying to rank for along with its available keywords. The idea of keyword gap analysis, its advantages, and how to carry out an efficient analysis utilizing various tools and approaches will all be covered in this chapter.
Understanding Keyword Gap Analysis
To find opportunities or gaps, you must compare the terms you now rank for with your competitors. It offers insights into content optimization and keyword targeting techniques and helps you identify the keywords you're overlooking. By fixing these gaps, you may boost your exposure, attract more relevant traffic, and enhance your overall SEO performance.
Gains from Keyword Gap Analysis
Discover Available Untapped Keywords − By figuring out which keywords your rivals are ranking for but you aren't, you might find worthwhile possibilities to increase the number of keywords in your keyword portfolio. Due to their low competition and substantial search volumes, these untapped keywords may be simpler to target and rank higher.
Gain A Competitive Edge − You can learn more about their SEO tactics by understanding your rivals' keywords. By using this information, you can target your keywords more precisely and optimise your content for search, giving yourself a competitive edge there. It takes time, but it is worth it to rank higher.
Improve Content Strategy − A keyword gap analysis can give you vital information to improve your content strategy. It assists in locating content gaps and makes suggestions for where to write fresh, keyword-focused material. You may boost interaction on your website and increase organic traffic by matching your content with pertinent keywords and avoiding overcrowding of keywords.
Making Use of Keyword Gap Analysis
Identify Competitors − First, look up the companies that compete with you for your target keywords in the search engine results page and rankings. Analyse the websites that provide comparable goods, services, or content to what your website does.
Research − Create lists of the keywords you presently rank for and collect keyword information from your competition websites. Extracting keyword information from rival websites can be aided by online tools like SEMrush, Ahrefs, Moz, etc.
Analyze Keyword Overlap − Compare your list of keywords with the lists of each of your competitors to find overlapping and distinct terms. Look for keywords that appear in your competitors' rankings but are not on your list. The keyword gaps you should pay attention to are those.
Analyze Competitor Strengths − Analyze your competitors' strengths by looking at their content and SEO tactics for the keywords you're not using. Discover what they are doing differently and possibilities to improve your on-page SEO, optimize your content, and increase the relevancy of your website for specific keywords.
Plan Content and Optimization Strategy − Plan your content strategy and optimization tactics based on the detected keyword gaps. To target specific keywords, either develop new relevant content or improve the existing pages. Ensure your approach focuses on offering valuable and accurate information and is in line with the intentions of your target audience. Remember to deliver what's needed by users.
Tools and Advanced Techniques for Keyword Gap Analysis
Analysis of Long-Tail Keywords − In addition to studying broad keywords, think about concentrating on long-tail keywords. These are lengthier, more precise search phrases with higher conversion potential and frequently less competition. Identify long-tail keywords your competitors are ranking for, but you must use tools like Google Keyword Planner, SEMrush, or Ahrefs.
Backlink Analysis − Include backlink analysis in your keyword gap research to get a complete picture of your competitors' SEO efforts. Examine the backlinks referring to your competitors' websites and look for opportunities to get equivalent high-quality backlinks for your own. Backlink analysis can be aided by tools such as Ahrefs or Moz.
Keyword Research Tools − Use keyword research tools to find new opportunities and validate your keyword gap analysis. Tools like Google Keyword Planner, SEMrush, Ahrefs, and Moz can provide significant insights regarding search volume, competition, and similar keywords and terms, allowing you to broaden your keyword targeting strategy.
Competitive Content Gap Analysis − Conduct a competitive content gap study to uncover topics, domains, themes or content areas that your competitors are addressing, but you are not. This goes beyond keyword gaps. You may get fresh ideas for producing meaningful and exciting content that connects with your target audience by using tools like BuzzSumo or SEMrush's Content Gap feature.
Conclusion
Advanced keyword gap analysis methodologies and technologies can provide deeper insights into your competitors' strategies while also assisting you in identifying new keyword prospects. You can improve your keyword targeting approach and obtain a competitive edge in search engine rankings by using long-tail keyword analysis, competitive content gap analysis, backlink analysis, and keyword research tools. Monitor and update your keyword gap analysis regularly to adapt to changes in the competitive landscape and stay ahead in the ever-changing world of SEO.