- SciPy - Home
- SciPy - Introduction
- SciPy - Environment Setup
- SciPy - Basic Functionality
- SciPy - Relationship with NumPy
- SciPy Clusters
- SciPy - Clusters
- SciPy - Hierarchical Clustering
- SciPy - K-means Clustering
- SciPy - Distance Metrics
- SciPy Constants
- SciPy - Constants
- SciPy - Mathematical Constants
- SciPy - Physical Constants
- SciPy - Unit Conversion
- SciPy - Astronomical Constants
- SciPy - Fourier Transforms
- SciPy - FFTpack
- SciPy - Discrete Fourier Transform (DFT)
- SciPy - Fast Fourier Transform (FFT)
- SciPy Integration Equations
- SciPy - Integrate Module
- SciPy - Single Integration
- SciPy - Double Integration
- SciPy - Triple Integration
- SciPy - Multiple Integration
- SciPy Differential Equations
- SciPy - Differential Equations
- SciPy - Integration of Stochastic Differential Equations
- SciPy - Integration of Ordinary Differential Equations
- SciPy - Discontinuous Functions
- SciPy - Oscillatory Functions
- SciPy - Partial Differential Equations
- SciPy Interpolation
- SciPy - Interpolate
- SciPy - Linear 1-D Interpolation
- SciPy - Polynomial 1-D Interpolation
- SciPy - Spline 1-D Interpolation
- SciPy - Grid Data Multi-Dimensional Interpolation
- SciPy - RBF Multi-Dimensional Interpolation
- SciPy - Polynomial & Spline Interpolation
- SciPy Curve Fitting
- SciPy - Curve Fitting
- SciPy - Linear Curve Fitting
- SciPy - Non-Linear Curve Fitting
- SciPy - Input & Output
- SciPy - Input & Output
- SciPy - Reading & Writing Files
- SciPy - Working with Different File Formats
- SciPy - Efficient Data Storage with HDF5
- SciPy - Data Serialization
- SciPy Linear Algebra
- SciPy - Linalg
- SciPy - Matrix Creation & Basic Operations
- SciPy - Matrix LU Decomposition
- SciPy - Matrix QU Decomposition
- SciPy - Singular Value Decomposition
- SciPy - Cholesky Decomposition
- SciPy - Solving Linear Systems
- SciPy - Eigenvalues & Eigenvectors
- SciPy Image Processing
- SciPy - Ndimage
- SciPy - Reading & Writing Images
- SciPy - Image Transformation
- SciPy - Filtering & Edge Detection
- SciPy - Top Hat Filters
- SciPy - Morphological Filters
- SciPy - Low Pass Filters
- SciPy - High Pass Filters
- SciPy - Bilateral Filter
- SciPy - Median Filter
- SciPy - Non - Linear Filters in Image Processing
- SciPy - High Boost Filter
- SciPy - Laplacian Filter
- SciPy - Morphological Operations
- SciPy - Image Segmentation
- SciPy - Thresholding in Image Segmentation
- SciPy - Region-Based Segmentation
- SciPy - Connected Component Labeling
- SciPy Optimize
- SciPy - Optimize
- SciPy - Special Matrices & Functions
- SciPy - Unconstrained Optimization
- SciPy - Constrained Optimization
- SciPy - Matrix Norms
- SciPy - Sparse Matrix
- SciPy - Frobenius Norm
- SciPy - Spectral Norm
- SciPy Condition Numbers
- SciPy - Condition Numbers
- SciPy - Linear Least Squares
- SciPy - Non-Linear Least Squares
- SciPy - Finding Roots of Scalar Functions
- SciPy - Finding Roots of Multivariate Functions
- SciPy - Signal Processing
- SciPy - Signal Filtering & Smoothing
- SciPy - Short-Time Fourier Transform
- SciPy - Wavelet Transform
- SciPy - Continuous Wavelet Transform
- SciPy - Discrete Wavelet Transform
- SciPy - Wavelet Packet Transform
- SciPy - Multi-Resolution Analysis
- SciPy - Stationary Wavelet Transform
- SciPy - Statistical Functions
- SciPy - Stats
- SciPy - Descriptive Statistics
- SciPy - Continuous Probability Distributions
- SciPy - Discrete Probability Distributions
- SciPy - Statistical Tests & Inference
- SciPy - Generating Random Samples
- SciPy - Kaplan-Meier Estimator Survival Analysis
- SciPy - Cox Proportional Hazards Model Survival Analysis
- SciPy Spatial Data
- SciPy - Spatial
- SciPy - Special Functions
- SciPy - Special Package
- SciPy Advanced Topics
- SciPy - CSGraph
- SciPy - ODR
- SciPy Useful Resources
- SciPy - Reference
- SciPy - Quick Guide
- SciPy - Cheatsheet
- SciPy - Useful Resources
- SciPy - Discussion
Scipy Triple Integration (tplquad)
Triple Integration in SciPy
In SciPy Triple Integration can be performed using the tplquad() function from the scipy.integrate module. This function allows us to compute the integral of a function of three variables over a specified region in three-dimensional space. The integral is computed iteratively for each variable following the specified bounds.
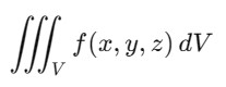
The triple integral of a function f(x, y, z) over a three-dimensional region defined by the limits can be expressed mathematically given as follows −
Where −
- V is the three-dimensional region over which the integration is performed.
- dv is the volume element which is in Cartesian coordinates is expressed as dv = dxdydz and f(x, y, z) is the function being integrated.
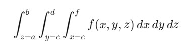
The limits of integration can vary based on the region v. If the limits are constant then the triple integral can be written as follows −
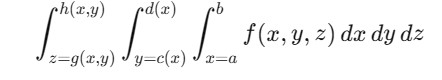
If the limits are functions of one another then the triple integral can be given as −
Syntax
Following is the syntax for the tplquad() function of scipy.integrate module can be given as follows −
scipy.integrate.tplquad(func, a, b, gfun, hfun, vfun, wfun, args=(), epsabs=1.49e-08, epsrel=1.49e-08)
Parameters
Here are the parameters for the tplquad() function of scipy.integrate module −
- func: The function to be integrated which takes three arguments (z, y, x).
- a: The lower limit of integration for the outer integral (x).
- b: The upper limit of integration for the outer integral (x).
- gfun: A function that returns the lower limit of integration for the middle integral (y) as a function of x.
- hfun: A function that returns the upper limit of integration for the middle integral (y) as a function of x.
- vfun: A function that returns the lower limit of integration for the inner integral (z) as a function of x and y.
- wfun: A function that returns the upper limit of integration for the inner integral (z) as a function of x and y.
- args (optional): Extra arguments to pass to func.
- epsabs: Absolute tolerance for the integration where default value is 1.49e-08.
- epsrel: Relative tolerance for the integration where default value is 1.49e-08.
Example of Triple Integration
Below is the example of calculating the triple integral of the function f(x, y, z) = x * y * z over the region defined by
- 0 x 1
- 0 y x
- 0 z y
import scipy.integrate as integrate
# Define the integrand function: f(x, y, z) = x * y * z
def integrand(z, y, x):
return x * y * z
# Perform triple integration using scipy.integrate.tplquad
result, error = integrate.tplquad(
integrand,
0, 1, # Limits for x
lambda x: 0, # Lower limit for y
lambda x: x, # Upper limit for y
lambda x, y: 0, # Lower limit for z
lambda x, y: y # Upper limit for z
)
# Print the result and estimated error
print("Result of the triple integration:", result)
print("Estimated error:", error)
Following is the output of the triple integration done using the function tplquad() of scipy.integrate −
Result of the triple integration: 0.020833333333333336 Estimated error: 5.4672862306750106e-15
Handling Infinite Limits
We can also handle infinite limits using scipy.inf or -scipy.inf. This allows us to compute integrals over unbounded regions effectively.
Example
Below is an example of integrating the function f(x, y, z) = e-(x2 + y2 + z2) over the region where x, y, z range from 0 to infinity:
import numpy as np
import scipy.integrate as integrate
# Define the function to integrate: f(x, y, z) = exp(-(x^2 + y^2 + z^2))
def integrand(z, y, x):
return np.exp(-(x**2 + y**2 + z**2))
# Perform triple integration with infinite limits
result, error = integrate.tplquad(integrand,
0, np.inf, # Limits for x
lambda x: 0, # Lower limit for y
lambda x: np.inf, # Upper limit for y
lambda x, y: 0, # Lower limit for z
lambda x, y: np.inf) # Upper limit for z
# Print the result and estimated error
print("Result of the triple integration:", result)
print("Estimated error:", error)
Following is the output of handling the Infinite limits when calculating the triple integration −
Result of the triple integration: 0.6960409996034802 Estimated error: 1.4884526702265109e-08
Error Tolerance
The tplquad() function allows us to control error tolerance with the epsabs and epsrel parameters. These parameters define the desired accuracy of the integration results.
Example
Heres an example of calculating the triple integral with specified error tolerances −
import numpy as np
import scipy.integrate as integrate
# Define the function to integrate: f(x, y, z) = exp(-(x^2 + y^2 + z^2))
def integrand(z, y, x):
return np.exp(-(x**2 + y**2 + z**2))
# Perform triple integration with custom error tolerances
result, error = integrate.tplquad(integrand,
0, np.inf, # Limits for x
lambda x: 0, # Lower limit for y
lambda x: np.inf, # Upper limit for y
lambda x, y: 0, # Lower limit for z
lambda x, y: np.inf, # Upper limit for z
epsabs=1e-10, epsrel=1e-10) # Custom tolerances
# Print the result and estimated error
print("Result of the triple integration:", result)
print("Estimated error:", error)
Following is the output of handling the error tolerance while performing the triple integration −
Result of the triple integration: 0.6960409996039614 Estimated error: 9.998852642787021e-11
Complex Functions
When dealing with complex functions we have to split the real and imaginary parts and perform separate integrals for each. This is similar to how double integrals are handled.
Example
Heres an example of calculating the triple integral of a complex function f(x, y, z) = e-(x2 + y2 + z2) + i.sin(x + y + z) −
import numpy as np
from scipy.integrate import nquad
# Define the real part of the function
def real_function(x, y, z):
return np.exp(-(x**2 + y**2 + z**2))
# Define the imaginary part of the function
def imaginary_function(x, y, z):
return np.sin(x + y + z)
# Define the limits for each variable (0 to 1 for this example)
limits = [[0, 1], [0, 1], [0, 1]] # Integration limits for x, y, z
# Perform the triple integration for the real part
real_result, real_error = nquad(real_function, limits)
# Perform the triple integration for the imaginary part
imaginary_result, imaginary_error = nquad(imaginary_function, limits)
# Combine the results into a complex number
result = real_result + 1j * imaginary_result
# Print the results
print(f"Real Part Integral Result: {real_result}, Error Estimate: {real_error}")
print(f"Imaginary Part Integral Result: {imaginary_result}, Error Estimate: {imaginary_error}")
print(f"Combined Integral Result: {result}")
Here is the output of calculating the triple integration of complex functions using tplquad() in scipy −
Real Part Integral Result: 0.4165383858866382, Error Estimate: 8.291335287314424e-15 Imaginary Part Integral Result: 0.8793549306454008, Error Estimate: 1.0645376503904486e-14 Combined Integral Result: (0.4165383858866382+0.8793549306454008j)
Finally we can say the tplquad() function in SciPy provides a powerful and flexible tool for performing triple integrals over various domains.
By specifying functions for the limits and integrating a wide range of functions we can efficiently compute complex integrals with high accuracy.