- Place Value, Ordering and Rounding
- Home
- Decimal Place Value: Tenths and Hundredths
- Decimal Place Value: Hundreds to Ten Thousandths
- Writing a Decimal Number Less Than 1 Given its Name
- Writing a Decimal Number Greater Than 1 Given its Name
- Writing a Decimal Number Given its Name: Advanced
- Reading Decimal Position on a Number Line: Tenths
- Reading Decimal Position on a Number Line: Hundredths
- Introduction to Ordering Decimals
- Ordering Decimals
- Rounding Decimals
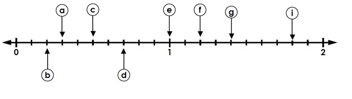
Reading Decimal Position on a Number Line: Tenths
Introduction
Consider the number line given below
It is divided into two major divisions 0-1 and 1-2. Each of this is further divided into 10 divisions which are tenths.
To read a decimal position of tenth on the number line consider some of the following examples. The letter a points to the third division between 0 and 1. So it represents 0.3. Similarly, b represents 0.2; c is 0.5 and d is 0.7.
e represents 1.0 or ten tenths and f, g and i represent values greater than 1.
f, g and i represent values 1.2, 1.4 and 1.8 respectively.
Problem 1
Identify the decimal numbers denoted by the letters on the number line given below.
Solution
Step 1:
a represents the second division so it shows the value two tenths or 0.2;
Step 2:
Similarly, b is 0.5; c is 0.4; d is 0.8 and e is 1.0
Problem 2
Identify the decimal numbers denoted by the letters on the number line shown below.
Solution
Step 1:
g, h, i and j represent values greater than 1.
Step 2:
g represents 1.1; h is 1.3; i is 1.6; j is 1.9