- LISP Tutorial
- LISP - Home
- LISP - Overview
- LISP - Environment
- LISP - REPL
- LISP - Program Structure
- LISP - Basic Syntax
- LISP - Data Types
- Lisp Macros
- LISP - Macros
- LISP - Backquote and Comma
- LISP - Code Generation Using Macro
- LISP - Variable Capture and Hygienic macro
- LISP - Scope and Binding
- LISP - Macro Writing Style
- LISP - Macro Characters
- LISP - Read-Time Macros
- LISP - Compiler Macros
- LISP - Uses of Macros
- Lisp Functions
- LISP - Functions
- LISP - Functions vs Macros
- LISP - Calling Function using funcall
- LISP - Calling Function using apply
- LISP - Closures
- LISP - Functions as Arguments
- LISP - Functions as Return Values
- LISP - Recursion
- LISP - Built-in Functions
- Lisp Predicates
- LISP - Predicates
- LISP - Generic Data Type Predicates
- LISP - Specific Data Type Predicates
- LISP - Equality Predicates
- LISP - Numeric Predicates
- LISP - Comparison Predicates
- LISP - Logical Predicates
- LISP - List Predicates
- LISP - Custom Predicates
- LISP - Chaining Predicates
- Lisp Arrays
- LISP - Arrays
- LISP - Adjustable Arrays
- LISP - Fill Pointers in Arrays
- LISP - Specialized Arrays
- LISP - Arrays Properties
- LISP - Iterating over Arrays
- LISP - Multidimensional Arrays
- LISP - Row-Major Order
- Lisp Strings
- LISP - Strings
- LISP - String Concatenation
- LISP - String Comparison
- LISP - String Case Conversion
- LISP - String Trimmimg
- LISP - String Searching
- LISP - Getting Substring
- LISP - String Replacement
- LISP - Sorting Strings
- LISP - Merging Strings
- LISP - Accessing Characters of String
- LISP - String length
- LISP - Escape Sequences
- Lisp Sequences
- LISP - Sequences
- LISP - Accessing Element of Sequence
- LISP - Sequence length
- LISP - Getting Subsequence
- LISP - Search Element in Sequence
- LISP - Sequence Concatenation
- LISP - Reversing a Sequence
- LISP - Mapping Sequence Element
- LISP - position of Element
- LISP - Remove an Element
- LISP - Sort Sequence
- LISP - Merge Sequences
- LISP - every function
- LISP - some function
- LISP - notany function
- LISP - notevery function
- Lisp Lists
- LISP - Lists
- LISP - Accessing Elements of Lists
- LISP - Modifications to Lists
- LISP - Using mapcar on List
- LISP - Using mapc on List
- LISP - Using reduce on List
- LISP - Removing elements from List
- LISP - Reversing a List
- LISP - Sorting a List
- LISP - Searching a List
- LISP - List vs Vectors
- LISP - Matrix Multiplication
- Lisp Vectors
- LISP - Vectors
- LISP - Creating Vectors
- LISP - Accessing Elements of Vectors
- LISP - Modifications to Vectors
- LISP - Adjustable Vectors
- LISP - Specialized Vectors
- LISP - Vector Functions
- Lisp Set
- LISP - Set
- LISP - Adding elements to the Set
- LISP - Getting SubSet from a Set
- LISP - Set Difference
- LISP - Set Exclusive OR
- LISP - Set Intersection
- LISP - Set Union
- LISP - Representing Set with HashTable
- LISP - List as Set vs HashTable as Set
- Lisp Tree
- LISP - Tree
- LISP - Recursive Traversal
- LISP - Inorder Traversal
- LISP - Preorder Traversal
- LISP - Postorder Traversal
- LISP - Depth First Traversal
- LISP - Modifying Tree
- LISP - Search Tree
- LISP - Binary Tree
- Lisp Hash Table
- LISP - Hash Table
- Adding Values to Hash Table
- Removing Values from Hash Table
- Updating Values of Hash Table
- Iterating Hash Table Entries
- Searching key in HashTable
- Checking Size of HashTable
- Using Custom Equality Check
- Lisp - Input − Output
- LISP - Input − Output
- LISP - Streams
- LISP - Reading Data from Streams
- LISP - Writing Data to Streams
- LISP - File I/O
- LISP - String I/O
- LISP - Formatting with Format
- LISP - Interactive I/O
- LISP - Error Handling
- LISP - Binary I/O
- Lisp - Structures
- LISP - Structures
- LISP - Accessors and Mutators
- LISP - Structure Options
- LISP - Structure Types
- LISP - Applications and Best Practices
- Lisp - CLOS
- LISP - CLOS
- Lisp - Objects
- LISP - Class
- LISP - Slots and Accessors
- LISP - Generic Functions
- LISP - Class Precedence
- LISP - Metaobject Protocol
- LISP - Multimethods
- LISP - Multiple Inheritance
- LISP - Method Combinations
- LISP - Method Combinations
- LISP - :before Method Combination
- LISP - :primary Method Combination
- LISP - :after Method Combination
- LISP - :around Method Combination
- LISP - + Method Combination
- LISP - and Method Combination
- LISP - append Method Combination
- LISP Useful Resources
- Lisp - Quick Guide
- Lisp - Useful Resources
- Lisp - Discussion
LISP - Quick Guide
LISP - Overview
John McCarthy invented LISP in 1958, shortly after the development of FORTRAN. It was first implemented by Steve Russell on an IBM 704 computer.
It is particularly suitable for Artificial Intelligence programs, as it processes symbolic information effectively.
Common Lisp originated, during the 1980s and 1990s, in an attempt to unify the work of several implementation groups that were successors to Maclisp, like ZetaLisp and NIL (New Implementation of Lisp) etc.
It serves as a common language, which can be easily extended for specific implementation.
Programs written in Common LISP do not depend on machine-specific characteristics, such as word length etc.
Features of Common LISP
It is machine-independent
It uses iterative design methodology, and easy extensibility.
It allows updating the programs dynamically.
It provides high level debugging.
It provides advanced object-oriented programming.
It provides a convenient macro system.
It provides wide-ranging data types like, objects, structures, lists, vectors, adjustable arrays, hash-tables, and symbols.
It is expression-based.
It provides an object-oriented condition system.
It provides a complete I/O library.
It provides extensive control structures.
Applications Built in LISP
Large successful applications built in Lisp.
Emacs
G2
AutoCad
Igor Engraver
Yahoo Store
LISP - Environment Setup
Local Environment Setup
If you are still willing to set up your environment for Lisp programming language, you need the following two softwares available on your computer, (a) Text Editor and (b) The Lisp Executer.
Text Editor
This will be used to type your program. Examples of few editors include Windows Notepad, OS Edit command, Brief, Epsilon, EMACS, and vim or vi.
Name and version of text editor can vary on different operating systems. For example, Notepad will be used on Windows, and vim or vi can be used on windows as well as Linux or UNIX.
The files you create with your editor are called source files and contain program source code. The source files for Lisp programs are typically named with the extension ".lisp".
Before starting your programming, make sure you have one text editor in place and you have enough experience to write a computer program, save it in a file, finally execute it.
The Lisp Executer
The source code written in source file is the human readable source for your program. It needs to be "executed", to turn into machine language so that your CPU can actually execute the program as per instructions given.
This Lisp programming language will be used to execute your source code into final executable program. I assume you have basic knowledge about a programming language.
CLISP is the GNU Common LISP multi-architechtural compiler used for setting up LISP in Windows. The windows version emulates a unix environment using MingW under windows. The installer takes care of this and automatically adds clisp to the windows PATH variable.
You can get the latest CLISP for Windows from here - https://sourceforge.net/projects/clisp/files/latest/download
It creates a shortcut in the Start Menu by default, for the line-by-line interpreter.
How to use CLISP
During installation, clisp is automatically added to your PATH variable if you select the option (RECOMMENDED) This means that you can simply open a new Command Prompt window and type clisp to bring up the compiler.
To run a *.lisp or *.lsp file, simply use −
clisp hello.lisp
LISP - Program Structure
LISP expressions are called symbolic expressions or s-expressions. The s-expressions are composed of three valid objects, atoms, lists and strings.
Any s-expression is a valid program.
LISP programs run either on an interpreter or as compiled code.
The interpreter checks the source code in a repeated loop, which is also called the read-evaluate-print loop (REPL). It reads the program code, evaluates it, and prints the values returned by the program.
A Simple Program
Let us write an s-expression to find the sum of three numbers 7, 9 and 11. To do this, we can type at the interpreter prompt.
(+ 7 9 11)
LISP returns the result −
27
If you would like to run the same program as a compiled code, then create a LISP source code file named myprog.lisp and type the following code in it.
(write (+ 7 9 11))
When you click the Execute button, or type Ctrl+E, LISP executes it immediately and the result returned is −
27
LISP Uses Prefix Notation
You might have noted that LISP uses prefix notation.
In the above program the + symbol works as the function name for the process of summation of the numbers.
In prefix notation, operators are written before their operands. For example, the expression,
a * ( b + c ) / d
will be written as −
(/ (* a (+ b c) ) d)
Let us take another example, let us write code for converting Fahrenheit temp of 60o F to the centigrade scale −
The mathematical expression for this conversion will be −
(60 * 9 / 5) + 32
Create a source code file named main.lisp and type the following code in it.
(write(+ (* (/ 9 5) 60) 32))
When you click the Execute button, or type Ctrl+E, LISP executes it immediately and the result returned is−
140
Evaluation of LISP Programs
Evaluation of LISP programs has two parts −
Translation of program text into Lisp objects by a reader program
Implementation of the semantics of the language in terms of these objects by an evaluator program
The evaluation process takes the following steps −
The reader translates the strings of characters to LISP objects or s-expressions.
The evaluator defines syntax of Lisp forms that are built from s-expressions. This second level of evaluation defines a syntax that determines which s-expressions are LISP forms.
The evaluator works as a function that takes a valid LISP form as an argument and returns a value. This is the reason why we put the LISP expression in parenthesis, because we are sending the entire expression/form to the evaluator as arguments.
The 'Hello World' Program
Learning a new programming language doesn't really take off until you learn how to greet the entire world in that language, right!
So, please create new source code file named main.lisp and type the following code in it.
(write-line "Hello World") (write-line "I am at 'Tutorials Point'! Learning LISP")
When you click the Execute button, or type Ctrl+E, LISP executes it immediately and the result returned is −
Hello World I am at 'Tutorials Point'! Learning LISP
LISP - Basic Syntax
Basic Building Blocks in LISP
LISP programs are made up of three basic building blocks −
- atom
- list
- string
An atom is a number or string of contiguous characters. It includes numbers and special characters.
Following are examples of some valid atoms −
hello-from-tutorials-point name 123008907 *hello* Block#221 abc123
A list is a sequence of atoms and/or other lists enclosed in parentheses.
Following are examples of some valid lists −
( i am a list) (a ( a b c) d e fgh) (father tom ( susan bill joe)) (sun mon tue wed thur fri sat) ( )
A string is a group of characters enclosed in double quotation marks.
Following are examples of some valid strings −
" I am a string" "a ba c d efg #$%^&!" "Please enter the following details :" "Hello from 'Tutorials Point'! "
Adding Comments
The semicolon symbol (;) is used for indicating a comment line.
For Example,
(write-line "Hello World") ; greet the world ; tell them your whereabouts (write-line "I am at 'Tutorials Point'! Learning LISP")
When you click the Execute button, or type Ctrl+E, LISP executes it immediately and the result returned is −
Hello World I am at 'Tutorials Point'! Learning LISP
Some Notable Points before Moving to Next
Following are some of the important points to note −
The basic numeric operations in LISP are +, -, *, and /
LISP represents a function call f(x) as (f x), for example cos(45) is written as cos 45
LISP expressions are case-insensitive, cos 45 or COS 45 are same.
LISP tries to evaluate everything, including the arguments of a function. Only three types of elements are constants and always return their own value
Numbers
The letter t, that stands for logical true.
The value nil, that stands for logical false, as well as an empty list.
Little More about LISP Forms
In the previous chapter, we mentioned that the evaluation process of LISP code takes the following steps.
The reader translates the strings of characters to LISP objects or s-expressions.
The evaluator defines syntax of Lisp forms that are built from s-expressions. This second level of evaluation defines a syntax that determines which s-expressions are LISP forms.
Now, a LISP forms could be.
- An Atom
- An empty or non-list
- Any list that has a symbol as its first element
The evaluator works as a function that takes a valid LISP form as an argument and returns a value. This is the reason why we put the LISP expression in parenthesis, because we are sending the entire expression/form to the evaluator as arguments.
Naming Conventions in LISP
Name or symbols can consist of any number of alphanumeric characters other than whitespace, open and closing parentheses, double and single quotes, backslash, comma, colon, semicolon and vertical bar. To use these characters in a name, you need to use escape character (\).
A name can have digits but not entirely made of digits, because then it would be read as a number. Similarly a name can have periods, but can't be made entirely of periods.
Use of Single Quotation Mark
LISP evaluates everything including the function arguments and list members.
At times, we need to take atoms or lists literally and don't want them evaluated or treated as function calls.
To do this, we need to precede the atom or the list with a single quotation mark.
The following example demonstrates this.
Create a file named main.lisp and type the following code into it.
(write-line "single quote used, it inhibits evaluation") (write '(* 2 3)) (write-line " ") (write-line "single quote not used, so expression evaluated") (write (* 2 3))
When you click the Execute button, or type Ctrl+E, LISP executes it immediately and the result returned is −
single quote used, it inhibits evaluation (* 2 3) single quote not used, so expression evaluated 6
LISP - Data Types
In LISP, variables are not typed, but data objects are.
LISP data types can be categorized as.
Scalar types − for example, number types, characters, symbols etc.
Data structures − for example, lists, vectors, bit-vectors, and strings.
Any variable can take any LISP object as its value, unless you have declared it explicitly.
Although, it is not necessary to specify a data type for a LISP variable, however, it helps in certain loop expansions, in method declarations and some other situations that we will discuss in later chapters.
The data types are arranged into a hierarchy. A data type is a set of LISP objects and many objects may belong to one such set.
The typep predicate is used for finding whether an object belongs to a specific type.
The type-of function returns the data type of a given object.
Type Specifiers in LISP
Type specifiers are system-defined symbols for data types.
| array | fixnum | package | simple-string |
| atom | float | pathname | simple-vector |
| bignum | function | random-state | single-float |
| bit | hash-table | ratio | standard-char |
| bit-vector | integer | rational | stream |
| character | keyword | readtable | string |
| [common] | list | sequence | [string-char] |
| compiled-function | long-float | short-float | symbol |
| complex | nill | signed-byte | t |
| cons | null | simple-array | unsigned-byte |
| double-float | number | simple-bit-vector | vector |
Apart from these system-defined types, you can create your own data types. When a structure type is defined using defstruct function, the name of the structure type becomes a valid type symbol.
Example 1
Create new source code file named main.lisp and type the following code in it.
(setq x 10) (setq y 34.567) (setq ch nil) (setq n 123.78) (setq bg 11.0e+4) (setq r 124/2) (print x) (print y) (print n) (print ch) (print bg) (print r)
When you click the Execute button, or type Ctrl+E, LISP executes it immediately and the result returned is −
10 34.567 123.78 NIL 110000.0 62
Example 2
Next let's check the types of the variables used in the previous example. Create new source code file named main. lisp and type the following code in it.
(defvar x 10) (defvar y 34.567) (defvar ch nil) (defvar n 123.78) (defvar bg 11.0e+4) (defvar r 124/2) (print (type-of x)) (print (type-of y)) (print (type-of n)) (print (type-of ch)) (print (type-of bg)) (print (type-of r))
When you click the Execute button, or type Ctrl+E, LISP executes it immediately and the result returned is −
(INTEGER 0 281474976710655) SINGLE-FLOAT SINGLE-FLOAT NULL SINGLE-FLOAT (INTEGER 0 281474976710655)
LISP - Macros
Macros allow you to extend the syntax of standard LISP.
Technically, a macro is a function that takes an s-expression as arguments and returns a LISP form, which is then evaluated.
Defining a Macro
In LISP, a named macro is defined using another macro named defmacro. Syntax for defining a macro is −
(defmacro macro-name (parameter-list)) "Optional documentation string." body-form
The macro definition consists of the name of the macro, a parameter list, an optional documentation string, and a body of Lisp expressions that defines the job to be performed by the macro.
Example
Let us write a simple macro named setTo10, which will take a number and set its value to 10.
Create new source code file named main.lisp and type the following code in it.
(defmacro setTo10(num) (setq num 10)(print num)) (setq x 25) (print x) (setTo10 x)
When you click the Execute button, or type Ctrl+E, LISP executes it immediately and the result returned is −
25 10
LISP - Variables
In LISP, each variable is represented by a symbol. The variable's name is the name of the symbol and it is stored in the storage cell of the symbol.
Global Variables
Global variables have permanent values throughout the LISP system and remain in effect until a new value is specified.
Global variables are generally declared using the defvar construct.
For example
(defvar x 234) (write x)
When you click the Execute button, or type Ctrl+E, LISP executes it immediately and the result returned is
234
Since there is no type declaration for variables in LISP, you directly specify a value for a symbol with the setq construct.
For Example
->(setq x 10)
The above expression assigns the value 10 to the variable x. You can refer to the variable using the symbol itself as an expression.
The symbol-value function allows you to extract the value stored at the symbol storage place.
For Example
Create new source code file named main.lisp and type the following code in it.
(setq x 10) (setq y 20) (format t "x = ~2d y = ~2d ~%" x y) (setq x 100) (setq y 200) (format t "x = ~2d y = ~2d" x y)
When you click the Execute button, or type Ctrl+E, LISP executes it immediately and the result returned is.
x = 10 y = 20 x = 100 y = 200
Local Variables
Local variables are defined within a given procedure. The parameters named as arguments within a function definition are also local variables. Local variables are accessible only within the respective function.
Like the global variables, local variables can also be created using the setq construct.
There are two other constructs - let and prog for creating local variables.
The let construct has the following syntax.
(let ((var1 val1) (var2 val2).. (varn valn))<s-expressions>)
Where var1, var2, ..varn are variable names and val1, val2, .. valn are the initial values assigned to the respective variables.
When let is executed, each variable is assigned the respective value and lastly the s-expression is evaluated. The value of the last expression evaluated is returned.
If you don't include an initial value for a variable, it is assigned to nil.
Example
Create new source code file named main.lisp and type the following code in it.
(let ((x 'a) (y 'b)(z 'c)) (format t "x = ~a y = ~a z = ~a" x y z))
When you click the Execute button, or type Ctrl+E, LISP executes it immediately and the result returned is.
x = A y = B z = C
The prog construct also has the list of local variables as its first argument, which is followed by the body of the prog, and any number of s-expressions.
The prog function executes the list of s-expressions in sequence and returns nil unless it encounters a function call named return. Then the argument of the return function is evaluated and returned.
Example
Create new source code file named main.lisp and type the following code in it.
(prog ((x '(a b c))(y '(1 2 3))(z '(p q 10))) (format t "x = ~a y = ~a z = ~a" x y z))
When you click the Execute button, or type Ctrl+E, LISP executes it immediately and the result returned is.
x = (A B C) y = (1 2 3) z = (P Q 10)
LISP - Constants
In LISP, constants are variables that never change their values during program execution. Constants are declared using the defconstant construct.
Example
The following example shows declaring a global constant PI and later using this value inside a function named area-circle that calculates the area of a circle.
The defun construct is used for defining a function, we will look into it in the Functions chapter.
Create a new source code file named main.lisp and type the following code in it.
(defconstant PI 3.141592) (defun area-circle(rad) (terpri) (format t "Radius: ~5f" rad) (format t "~%Area: ~10f" (* PI rad rad))) (area-circle 10)
When you click the Execute button, or type Ctrl+E, LISP executes it immediately and the result returned is.
Radius: 10.0 Area: 314.1592
LISP - Operators
An operator is a symbol that tells the compiler to perform specific mathematical or logical manipulations. LISP allows numerous operations on data, supported by various functions, macros and other constructs.
The operations allowed on data could be categorized as −
- Arithmetic Operations
- Comparison Operations
- Logical Operations
- Bitwise Operations
Arithmetic Operations
The following table shows all the arithmetic operators supported by LISP. Assume variable A holds 10 and variable B holds 20 then −
| Operator | Description | Example |
|---|---|---|
| + | Adds two operands | (+A B) will give 30 |
| - | Subtracts second operand from the first | (- A B) will give -10 |
| * | Multiplies both operands | (* A B) will give 200 |
| / | Divides numerator by de-numerator | (/ B A) will give 2 |
| mod,rem | Modulus Operator and remainder of after an integer division | (mod B A )will give 0 |
| incf | Increments operator increases integer value by the second argument specified | (incf A 3) will give 13 |
| decf | Decrements operator decreases integer value by the second argument specified | (decf A 4) will give 9 |
Comparison Operations
Following table shows all the relational operators supported by LISP that compares between numbers. However unlike relational operators in other languages, LISP comparison operators may take more than two operands and they work on numbers only.
Assume variable A holds 10 and variable B holds 20, then −
| Operator | Description | Example |
|---|---|---|
| = | Checks if the values of the operands are all equal or not, if yes then condition becomes true. | (= A B) is not true. |
| /= | Checks if the values of the operands are all different or not, if values are not equal then condition becomes true. | (/= A B) is true. |
| > | Checks if the values of the operands are monotonically decreasing. | (> A B) is not true. |
| < | Checks if the values of the operands are monotonically increasing. | (< A B) is true. |
| >= | Checks if the value of any left operand is greater than or equal to the value of next right operand, if yes then condition becomes true. | (>= A B) is not true. |
| <= | Checks if the value of any left operand is less than or equal to the value of its right operand, if yes then condition becomes true. | (<= A B) is true. |
| max | It compares two or more arguments and returns the maximum value. | (max A B) returns 20 |
| min | It compares two or more arguments and returns the minimum value. | (min A B) returns 10 |
Logical Operations on Boolean Values
Common LISP provides three logical operators: and, or, and not that operates on Boolean values. Assume A has value nil and B has value 5, then −
| Operator | Description | Example |
|---|---|---|
| and | It takes any number of arguments. The arguments are evaluated left to right. If all arguments evaluate to non-nil, then the value of the last argument is returned. Otherwise nil is returned. | (and A B) will return NIL. |
| or | It takes any number of arguments. The arguments are evaluated left to right until one evaluates to non-nil, in such case the argument value is returned, otherwise it returns nil. | (or A B) will return 5. |
| not | It takes one argument and returns t if the argument evaluates to nil. | (not A) will return T. |
Bitwise Operations on Numbers
Bitwise operators work on bits and perform bit-by-bit operation. The truth tables for bitwise and, or, and xor operations are as follows −
| p | q | p and q | p or q | p xor q |
|---|---|---|---|---|
| 0 | 0 | 0 | 0 | 0 |
| 0 | 1 | 0 | 1 | 1 |
| 1 | 1 | 1 | 1 | 0 |
| 1 | 0 | 0 | 1 | 1 |
Assume if A = 60; and B = 13; now in binary format they will be as follows: A = 0011 1100 B = 0000 1101 ----------------- A and B = 0000 1100 A or B = 0011 1101 A xor B = 0011 0001 not A = 1100 0011
The Bitwise operators supported by LISP are listed in the following table. Assume variable A holds 60 and variable B holds 13, then −
| Operator | Description | Example |
|---|---|---|
| logand | This returns the bit-wise logical AND of its arguments. If no argument is given, then the result is -1, which is an identity for this operation. | (logand a b)) will give 12 |
| logior | This returns the bit-wise logical INCLUSIVE OR of its arguments. If no argument is given, then the result is zero, which is an identity for this operation. | (logior a b) will give 61 |
| logxor | This returns the bit-wise logical EXCLUSIVE OR of its arguments. If no argument is given, then the result is zero, which is an identity for this operation. | (logxor a b) will give 49 |
| lognor | This returns the bit-wise NOT of its arguments. If no argument is given, then the result is -1, which is an identity for this operation. | (lognor a b) will give -62, |
| logeqv | This returns the bit-wise logical EQUIVALENCE (also known as exclusive nor) of its arguments. If no argument is given, then the result is -1, which is an identity for this operation. | (logeqv a b) will give -50 |
LISP - Decision Making
Decision making structures require that the programmer specify one or more conditions to be evaluated or tested by the program, along with a statement or statements to be executed if the condition is determined to be true, and optionally, other statements to be executed if the condition is determined to be false.
Following is the general form of a typical decision making structure found in most of the programming languages −
LISP provides following types of decision making constructs. Click the following links to check their detail.
| Sr.No. | Construct & Description |
|---|---|
| 1 | cond
This construct is used for used for checking multiple test-action clauses. It can be compared to the nested if statements in other programming languages. |
| 2 | if
The if construct has various forms. In simplest form it is followed by a test clause, a test action and some other consequent action(s). If the test clause evaluates to true, then the test action is executed otherwise, the consequent clause is evaluated. |
| 3 | when
In simplest form it is followed by a test clause, and a test action. If the test clause evaluates to true, then the test action is executed otherwise, the consequent clause is evaluated. |
| 4 | case
This construct implements multiple test-action clauses like the cond construct. However, it evaluates a key form and allows multiple action clauses based on the evaluation of that key form. |
LISP - Loops
There may be a situation, when you need to execute a block of code numbers of times. A loop statement allows us to execute a statement or group of statements multiple times and following is the general form of a loop statement in most of the programming languages.
LISP provides the following types of constructs to handle looping requirements. Click the following links to check their detail.
| Sr.No. | Construct & Description |
|---|---|
| 1 | loop
The loop construct is the simplest form of iteration provided by LISP. In its simplest form, it allows you to execute some statement(s) repeatedly until it finds a return statement. |
| 2 | loop for
The loop for construct allows you to implement a for-loop like iteration as most common in other languages. |
| 3 | do
The do construct is also used for performing iteration using LISP. It provides a structured form of iteration. |
| 4 | dotimes
The dotimes construct allows looping for some fixed number of iterations. |
| 5 | dolist
The dolist construct allows iteration through each element of a list. |
Gracefully Exiting From a Block
The block and return-from allows you to exit gracefully from any nested blocks in case of any error.
The block function allows you to create a named block with a body composed of zero or more statements. Syntax is −
(block block-name( ... ... ))
The return-from function takes a block name and an optional (the default is nil) return value.
The following example demonstrates this −
Example
Create a new source code file named main.lisp and type the following code in it −
(defun demo-function (flag)
(print 'entering-outer-block)
(block outer-block
(print 'entering-inner-block)
(print (block inner-block
(if flag
(return-from outer-block 3)
(return-from inner-block 5)
)
(print 'This-wil--not-be-printed))
)
(print 'left-inner-block)
(print 'leaving-outer-block)
t)
)
(demo-function t)
(terpri)
(demo-function nil)
When you click the Execute button, or type Ctrl+E, LISP executes it immediately and the result returned is −
ENTERING-OUTER-BLOCK ENTERING-INNER-BLOCK ENTERING-OUTER-BLOCK ENTERING-INNER-BLOCK 5 LEFT-INNER-BLOCK LEAVING-OUTER-BLOCK
LISP - Functions
A function is a group of statements that together perform a task.
You can divide up your code into separate functions. How you divide up your code among different functions is up to you, but logically the division usually is so each function performs a specific task.
Defining Functions in LISP
The macro named defun is used for defining functions. The defun macro needs three arguments −
- Name of the function
- Parameters of the function
- Body of the function
Syntax for defun is −
(defun name (parameter-list) "Optional documentation string." body)
Let us illustrate the concept with simple examples.
Example 1
Let's write a function named averagenum that will print the average of four numbers. We will send these numbers as parameters.
Create a new source code file named main.lisp and type the following code in it.
(defun averagenum (n1 n2 n3 n4) (/ ( + n1 n2 n3 n4) 4) ) (write(averagenum 10 20 30 40))
When you execute the code, it returns the following result −
25
Example 2
Let's define and call a function that would calculate the area of a circle when the radius of the circle is given as an argument.
Create a new source code file named main.lisp and type the following code in it.
(defun area-circle(rad) "Calculates area of a circle with given radius" (terpri) (format t "Radius: ~5f" rad) (format t "~%Area: ~10f" (* 3.141592 rad rad)) ) (area-circle 10)
When you execute the code, it returns the following result −
Radius: 10.0 Area: 314.1592
Please note that −
You can provide an empty list as parameters, which means the function takes no arguments, the list is empty, written as ().
LISP also allows optional, multiple, and keyword arguments.
The documentation string describes the purpose of the function. It is associated with the name of the function and can be obtained using the documentation function.
The body of the function may consist of any number of Lisp expressions.
The value of the last expression in the body is returned as the value of the function.
You can also return a value from the function using the return-from special operator.
Let us discuss the above concepts in brief. Click following links to find details −
LISP - Predicates
Predicates are functions that test their arguments for some specific conditions and returns nil if the condition is false, or some non-nil value is the condition is true.
The following table shows some of the most commonly used predicates −
| Sr.No. | Predicate & Description |
|---|---|
| 1 | atom It takes one argument and returns t if the argument is an atom or nil if otherwise. |
| 2 | equal It takes two arguments and returns t if they are structurally equal or nil otherwise. |
| 3 | eq It takes two arguments and returns t if they are same identical objects, sharing the same memory location or nil otherwise. |
| 4 | eql It takes two arguments and returns t if the arguments are eq, or if they are numbers of the same type with the same value, or if they are character objects that represent the same character, or nil otherwise. |
| 5 | evenp It takes one numeric argument and returns t if the argument is even number or nil if otherwise. |
| 6 | oddp It takes one numeric argument and returns t if the argument is odd number or nil if otherwise. |
| 7 | zerop It takes one numeric argument and returns t if the argument is zero or nil if otherwise. |
| 8 | null It takes one argument and returns t if the argument evaluates to nil, otherwise it returns nil. |
| 9 | listp It takes one argument and returns t if the argument evaluates to a list otherwise it returns nil. |
| 10 | greaterp It takes one or more argument and returns t if either there is a single argument or the arguments are successively larger from left to right, or nil if otherwise. |
| 11 | lessp It takes one or more argument and returns t if either there is a single argument or the arguments are successively smaller from left to right, or nil if otherwise. |
| 12 | numberp It takes one argument and returns t if the argument is a number or nil if otherwise. |
| 13 | symbolp It takes one argument and returns t if the argument is a symbol otherwise it returns nil. |
| 14 | integerp It takes one argument and returns t if the argument is an integer otherwise it returns nil. |
| 15 | rationalp It takes one argument and returns t if the argument is rational number, either a ratio or a number, otherwise it returns nil. |
| 16 | floatp It takes one argument and returns t if the argument is a floating point number otherwise it returns nil. |
| 17 | realp It takes one argument and returns t if the argument is a real number otherwise it returns nil. |
| 18 | complexp It takes one argument and returns t if the argument is a complex number otherwise it returns nil. |
| 19 | characterp It takes one argument and returns t if the argument is a character otherwise it returns nil. |
| 20 | stringp It takes one argument and returns t if the argument is a string object otherwise it returns nil. |
| 21 | arrayp It takes one argument and returns t if the argument is an array object otherwise it returns nil. |
| 22 | packagep It takes one argument and returns t if the argument is a package otherwise it returns nil. |
Example 1
Create a new source code file named main.lisp and type the following code in it.
(write (atom 'abcd)) (terpri) (write (equal 'a 'b)) (terpri) (write (evenp 10)) (terpri) (write (evenp 7 )) (terpri) (write (oddp 7 )) (terpri) (write (zerop 0.0000000001)) (terpri) (write (eq 3 3.0 )) (terpri) (write (equal 3 3.0 )) (terpri) (write (null nil ))
When you execute the code, it returns the following result −
T NIL T NIL T NIL NIL NIL T
Example 2
Create a new source code file named main.lisp and type the following code in it.
(defun factorial (num)
(cond ((zerop num) 1)
(t ( * num (factorial (- num 1))))
)
)
(setq n 6)
(format t "~% Factorial ~d is: ~d" n (factorial n))
When you execute the code, it returns the following result −
Factorial 6 is: 720
LISP - Numbers
Common Lisp defines several kinds of numbers. The number data type includes various kinds of numbers supported by LISP.
The number types supported by LISP are −
- Integers
- Ratios
- Floating-point numbers
- Complex numbers
The following diagram shows the number hierarchy and various numeric data types available in LISP −
Various Numeric Types in LISP
The following table describes various number type data available in LISP −
| Sr.No. | Data type & Description |
|---|---|
| 1 | fixnum This data type represents integers which are not too large and mostly in the range -215 to 215-1 (it is machine-dependent) |
| 2 | bignum These are very large numbers with size limited by the amount of memory allocated for LISP, they are not fixnum numbers. |
| 3 | ratio Represents the ratio of two numbers in the numerator/denominator form. The / function always produce the result in ratios, when its arguments are integers. |
| 4 | float It represents non-integer numbers. There are four float data types with increasing precision. |
| 5 | complex It represents complex numbers, which are denoted by #c. The real and imaginary parts could be both either rational or floating point numbers. |
Example
Create a new source code file named main.lisp and type the following code in it.
(write (/ 1 2)) (terpri) (write ( + (/ 1 2) (/ 3 4))) (terpri) (write ( + #c( 1 2) #c( 3 -4)))
When you execute the code, it returns the following result −
1/2 5/4 #C(4 -2)
Number Functions
The following table describes some commonly used numeric functions −
| Sr.No. | Function & Description |
|---|---|
| 1 | +, -, *, / Respective arithmetic operations |
| 2 | sin, cos, tan, acos, asin, atan Respective trigonometric functions. |
| 3 | sinh, cosh, tanh, acosh, asinh, atanh Respective hyperbolic functions. |
| 4 | exp Exponentiation function. Calculates ex |
| 5 | expt Exponentiation function, takes base and power both. |
| 6 | sqrt It calculates the square root of a number. |
| 7 | log Logarithmic function. It one parameter is given, then it calculates its natural logarithm, otherwise the second parameter is used as base. |
| 8 | conjugate It calculates the complex conjugate of a number. In case of a real number, it returns the number itself. |
| 9 | abs It returns the absolute value (or magnitude) of a number. |
| 10 | gcd It calculates the greatest common divisor of the given numbers. |
| 11 | lcm It calculates the least common multiple of the given numbers. |
| 12 | isqrt It gives the greatest integer less than or equal to the exact square root of a given natural number. |
| 13 | floor, ceiling, truncate, round All these functions take two arguments as a number and returns the quotient; floor returns the largest integer that is not greater than ratio, ceiling chooses the smaller integer that is larger than ratio, truncate chooses the integer of the same sign as ratio with the largest absolute value that is less than absolute value of ratio, and round chooses an integer that is closest to ratio. |
| 14 | ffloor, fceiling, ftruncate, fround Does the same as above, but returns the quotient as a floating point number. |
| 15 | mod, rem Returns the remainder in a division operation. |
| 16 | float Converts a real number to a floating point number. |
| 17 | rational, rationalize Converts a real number to rational number. |
| 18 | numerator, denominator Returns the respective parts of a rational number. |
| 19 | realpart, imagpart Returns the real and imaginary part of a complex number. |
Example
Create a new source code file named main.lisp and type the following code in it.
(write (/ 45 78)) (terpri) (write (floor 45 78)) (terpri) (write (/ 3456 75)) (terpri) (write (floor 3456 75)) (terpri) (write (ceiling 3456 75)) (terpri) (write (truncate 3456 75)) (terpri) (write (round 3456 75)) (terpri) (write (ffloor 3456 75)) (terpri) (write (fceiling 3456 75)) (terpri) (write (ftruncate 3456 75)) (terpri) (write (fround 3456 75)) (terpri) (write (mod 3456 75)) (terpri) (setq c (complex 6 7)) (write c) (terpri) (write (complex 5 -9)) (terpri) (write (realpart c)) (terpri) (write (imagpart c))
When you execute the code, it returns the following result −
15/26 0 1152/25 46 47 46 46 46.0 47.0 46.0 46.0 6 #C(6 7) #C(5 -9) 6 7
LISP - Characters
In LISP, characters are represented as data objects of type character.
You can denote a character object preceding #\ before the character itself. For example, #\a means the character a.
Space and other special characters can be denoted by preceding #\ before the name of the character. For example, #\SPACE represents the space character.
The following example demonstrates this −
Example
Create a new source code file named main.lisp and type the following code in it.
(write 'a) (terpri) (write #\a) (terpri) (write-char #\a) (terpri) (write-char 'a)
When you execute the code, it returns the following result −
A #\a a *** - WRITE-CHAR: argument A is not a character
Special Characters
Common LISP allows using the following special characters in your code. They are called the semi-standard characters.
- #\Backspace
- #\Tab
- #\Linefeed
- #\Page
- #\Return
- #\Rubout
Character Comparison Functions
Numeric comparison functions and operators, like, < and > do not work on characters. Common LISP provides other two sets of functions for comparing characters in your code.
One set is case-sensitive and the other case-insensitive.
The following table provides the functions −
| Case Sensitive Functions | Case-insensitive Functions | Description |
|---|---|---|
| char= | char-equal | Checks if the values of the operands are all equal or not, if yes then condition becomes true. |
| char/= | char-not-equal | Checks if the values of the operands are all different or not, if values are not equal then condition becomes true. |
| char< | char-lessp | Checks if the values of the operands are monotonically decreasing. |
| char> | char-greaterp | Checks if the values of the operands are monotonically increasing. |
| char<= | char-not-greaterp | Checks if the value of any left operand is greater than or equal to the value of next right operand, if yes then condition becomes true. |
| char>= | char-not-lessp | Checks if the value of any left operand is less than or equal to the value of its right operand, if yes then condition becomes true. |
Example
Create a new source code file named main.lisp and type the following code in it.
; case-sensitive comparison (write (char= #\a #\b)) (terpri) (write (char= #\a #\a)) (terpri) (write (char= #\a #\A)) (terpri) ;case-insensitive comparision (write (char-equal #\a #\A)) (terpri) (write (char-equal #\a #\b)) (terpri) (write (char-lessp #\a #\b #\c)) (terpri) (write (char-greaterp #\a #\b #\c))
When you execute the code, it returns the following result −
NIL T NIL T NIL T NIL
LISP - Arrays
LISP allows you to define single or multiple-dimension arrays using the make-array function. An array can store any LISP object as its elements.
All arrays consist of contiguous memory locations. The lowest address corresponds to the first element and the highest address to the last element.
The number of dimensions of an array is called its rank.
In LISP, an array element is specified by a sequence of non-negative integer indices. The length of the sequence must equal the rank of the array. Indexing starts from zero.
For example, to create an array with 10- cells, named my-array, we can write −
(setf my-array (make-array '(10)))
The aref function allows accessing the contents of the cells. It takes two arguments, the name of the array and the index value.
For example, to access the content of the tenth cell, we write −
(aref my-array 9)
Example 1
Create a new source code file named main.lisp and type the following code in it.
(write (setf my-array (make-array '(10)))) (terpri) (setf (aref my-array 0) 25) (setf (aref my-array 1) 23) (setf (aref my-array 2) 45) (setf (aref my-array 3) 10) (setf (aref my-array 4) 20) (setf (aref my-array 5) 17) (setf (aref my-array 6) 25) (setf (aref my-array 7) 19) (setf (aref my-array 8) 67) (setf (aref my-array 9) 30) (write my-array)
When you execute the code, it returns the following result −
#(NIL NIL NIL NIL NIL NIL NIL NIL NIL NIL) #(25 23 45 10 20 17 25 19 67 30)
Example 2
Let us create a 3-by-3 array.
Create a new source code file named main.lisp and type the following code in it.
(setf x (make-array '(3 3) :initial-contents '((0 1 2 ) (3 4 5) (6 7 8))) ) (write x)
When you execute the code, it returns the following result −
#2A((0 1 2) (3 4 5) (6 7 8))
Example 3
Create a new source code file named main.lisp and type the following code in it.
(setq a (make-array '(4 3)))
(dotimes (i 4)
(dotimes (j 3)
(setf (aref a i j) (list i 'x j '= (* i j)))
)
)
(dotimes (i 4)
(dotimes (j 3)
(print (aref a i j))
)
)
When you execute the code, it returns the following result −
(0 X 0 = 0) (0 X 1 = 0) (0 X 2 = 0) (1 X 0 = 0) (1 X 1 = 1) (1 X 2 = 2) (2 X 0 = 0) (2 X 1 = 2) (2 X 2 = 4) (3 X 0 = 0) (3 X 1 = 3) (3 X 2 = 6)
Complete Syntax for the make-array Function
The make-array function takes many other arguments. Let us look at the complete syntax of this function −
make-array dimensions :element-type :initial-element :initial-contents :adjustable :fill-pointer :displaced-to :displaced-index-offset
Apart from the dimensions argument, all other arguments are keywords. The following table provides brief description of the arguments.
| Sr.No. | Argument & Description |
|---|---|
| 1 | dimensions It gives the dimensions of the array. It is a number for one-dimensional array, and a list for multi-dimensional array. |
| 2 | :element-type It is the type specifier, default value is T, i.e. any type |
| 3 | :initial-element Initial elements value. It will make an array with all the elements initialized to a particular value. |
| 4 | :initial-content Initial content as object. |
| 5 | :adjustable It helps in creating a resizeable (or adjustable) vector whose underlying memory can be resized. The argument is a Boolean value indicating whether the array is adjustable or not, default value being NIL. |
| 6 | :fill-pointer It keeps track of the number of elements actually stored in a resizeable vector. |
| 7 | :displaced-to It helps in creating a displaced array or shared array that shares its contents with the specified array. Both the arrays should have same element type. The :displaced-to option may not be used with the :initial-element or :initial-contents option. This argument defaults to nil. |
| 8 | :displaced-index-offset It gives the index-offset of the created shared array. |
Example 4
Create a new source code file named main.lisp and type the following code in it.
(setq myarray (make-array '(3 2 3)
:initial-contents
'(((a b c) (1 2 3))
((d e f) (4 5 6))
((g h i) (7 8 9))
))
)
(setq array2 (make-array 4 :displaced-to myarray :displaced-index-offset 2))
(write myarray)
(terpri)
(write array2)
When you execute the code, it returns the following result −
#3A(((A B C) (1 2 3)) ((D E F) (4 5 6)) ((G H I) (7 8 9))) #(C 1 2 3)
If the displaced array is two dimensional −
(setq myarray (make-array '(3 2 3)
:initial-contents
'(((a b c) (1 2 3))
((d e f) (4 5 6))
((g h i) (7 8 9))
))
)
(setq array2 (make-array '(3 2) :displaced-to myarray :displaced-index-offset 2))
(write myarray)
(terpri)
(write array2)
When you execute the code, it returns the following result −
#3A(((A B C) (1 2 3)) ((D E F) (4 5 6)) ((G H I) (7 8 9))) #2A((C 1) (2 3) (D E))
Let's change the displaced index offset to 5 −
(setq myarray (make-array '(3 2 3)
:initial-contents
'(((a b c) (1 2 3))
((d e f) (4 5 6))
((g h i) (7 8 9))
))
)
(setq array2 (make-array '(3 2) :displaced-to myarray :displaced-index-offset 5))
(write myarray)
(terpri)
(write array2)
When you execute the code, it returns the following result −
#3A(((A B C) (1 2 3)) ((D E F) (4 5 6)) ((G H I) (7 8 9))) #2A((3 D) (E F) (4 5))
Example 5
Create a new source code file named main.lisp and type the following code in it.
;a one dimensional array with 5 elements, ;initail value 5 (write (make-array 5 :initial-element 5)) (terpri) ;two dimensional array, with initial element a (write (make-array '(2 3) :initial-element 'a)) (terpri) ;an array of capacity 14, but fill pointer 5, is 5 (write(length (make-array 14 :fill-pointer 5))) (terpri) ;however its length is 14 (write (array-dimensions (make-array 14 :fill-pointer 5))) (terpri) ; a bit array with all initial elements set to 1 (write(make-array 10 :element-type 'bit :initial-element 1)) (terpri) ; a character array with all initial elements set to a ; is a string actually (write(make-array 10 :element-type 'character :initial-element #\a)) (terpri) ; a two dimensional array with initial values a (setq myarray (make-array '(2 2) :initial-element 'a :adjustable t)) (write myarray) (terpri) ;readjusting the array (adjust-array myarray '(1 3) :initial-element 'b) (write myarray)
When you execute the code, it returns the following result −
#(5 5 5 5 5) #2A((A A A) (A A A)) 5 (14) #*1111111111 "aaaaaaaaaa" #2A((A A) (A A)) #2A((A A B))
LISP - Strings
Strings in Common Lisp are vectors, i.e., one-dimensional array of characters.
String literals are enclosed in double quotes. Any character supported by the character set can be enclosed within double quotes to make a string, except the double quote character (") and the escape character (\). However, you can include these by escaping them with a backslash (\).
Example
Create a new source code file named main.lisp and type the following code in it.
(write-line "Hello World") (write-line "Welcome to Tutorials Point") ;escaping the double quote character (write-line "Welcome to \"Tutorials Point\"")
When you execute the code, it returns the following result −
Hello World Welcome to Tutorials Point Welcome to "Tutorials Point"
String Comparison Functions
Numeric comparison functions and operators, like, < and > do not work on strings. Common LISP provides other two sets of functions for comparing strings in your code. One set is case-sensitive and the other case-insensitive.
The following table provides the functions −
| Case Sensitive Functions | Case-insensitive Functions | Description |
|---|---|---|
| string= | string-equal | Checks if the values of the operands are all equal or not, if yes then condition becomes true. |
| string/= | string-not-equal | Checks if the values of the operands are all different or not, if values are not equal then condition becomes true. |
| string< | string-lessp | Checks if the values of the operands are monotonically decreasing. |
| string> | string-greaterp | Checks if the values of the operands are monotonically increasing. |
| string<= | string-not-greaterp | Checks if the value of any left operand is greater than or equal to the value of next right operand, if yes then condition becomes true. |
| string>= | string-not-lessp | Checks if the value of any left operand is less than or equal to the value of its right operand, if yes then condition becomes true. |
Example
Create a new source code file named main.lisp and type the following code in it.
; case-sensitive comparison (write (string= "this is test" "This is test")) (terpri) (write (string> "this is test" "This is test")) (terpri) (write (string< "this is test" "This is test")) (terpri) ;case-insensitive comparision (write (string-equal "this is test" "This is test")) (terpri) (write (string-greaterp "this is test" "This is test")) (terpri) (write (string-lessp "this is test" "This is test")) (terpri) ;checking non-equal (write (string/= "this is test" "this is Test")) (terpri) (write (string-not-equal "this is test" "This is test")) (terpri) (write (string/= "lisp" "lisping")) (terpri) (write (string/= "decent" "decency"))
When you execute the code, it returns the following result −
NIL 0 NIL T NIL NIL 8 NIL 4 5
Case Controlling Functions
The following table describes the case controlling functions −
| Sr.No. | Function & Description |
|---|---|
| 1 | string-upcase Converts the string to upper case |
| 2 | string-downcase Converts the string to lower case |
| 3 | string-capitalize Capitalizes each word in the string |
Example
Create a new source code file named main.lisp and type the following code in it.
(write-line (string-upcase "a big hello from tutorials point")) (write-line (string-capitalize "a big hello from tutorials point"))
When you execute the code, it returns the following result −
A BIG HELLO FROM TUTORIALS POINT A Big Hello From Tutorials Point
Trimming Strings
The following table describes the string trimming functions −
| Sr.No. | Function & Description |
|---|---|
| 1 | string-trim It takes a string of character(s) as first argument and a string as the second argument and returns a substring where all characters that are in the first argument are removed off the argument string. |
| 2 | String-left-trim It takes a string of character(s) as first argument and a string as the second argument and returns a substring where all characters that are in the first argument are removed off the beginning of the argument string. |
| 3 | String-right-trim It takes a string character(s) as first argument and a string as the second argument and returns a substring where all characters that are in the first argument are removed off the end of the argument string. |
Example
Create a new source code file named main.lisp and type the following code in it.
(write-line (string-trim " " " a big hello from tutorials point ")) (write-line (string-left-trim " " " a big hello from tutorials point ")) (write-line (string-right-trim " " " a big hello from tutorials point ")) (write-line (string-trim " a" " a big hello from tutorials point "))
When you execute the code, it returns the following result −
a big hello from tutorials point a big hello from tutorials point a big hello from tutorials point big hello from tutorials point
Other String Functions
Strings in LISP are arrays and thus also sequences. We will cover these data types in coming tutorials. All functions that are applicable to arrays and sequences also apply to strings. However, we will demonstrate some commonly used functions using various examples.
Calculating Length
The length function calculates the length of a string.
Extracting Sub-string
The subseq function returns a sub-string (as a string is also a sequence) starting at a particular index and continuing to a particular ending index or the end of the string.
Accessing a Character in a String
The char function allows accessing individual characters of a string.
Example
Create a new source code file named main.lisp and type the following code in it.
(write (length "Hello World")) (terpri) (write-line (subseq "Hello World" 6)) (write (char "Hello World" 6))
When you execute the code, it returns the following result −
11 World #\W
Sorting and Merging of Strings
The sort function allows sorting a string. It takes a sequence (vector or string) and a two-argument predicate and returns a sorted version of the sequence.
The merge function takes two sequences and a predicate and returns a sequence produced by merging the two sequences, according to the predicate.
Example
Create a new source code file named main.lisp and type the following code in it.
;sorting the strings (write (sort (vector "Amal" "Akbar" "Anthony") #'string<)) (terpri) ;merging the strings (write (merge 'vector (vector "Rishi" "Zara" "Priyanka") (vector "Anju" "Anuj" "Avni") #'string<))
When you execute the code, it returns the following result −
#("Akbar" "Amal" "Anthony")
#("Anju" "Anuj" "Avni" "Rishi" "Zara" "Priyanka")
Reversing a String
The reverse function reverses a string.
For example, Create a new source code file named main.lisp and type the following code in it.
(write-line (reverse "Are we not drawn onward, we few, drawn onward to new era"))
When you execute the code, it returns the following result −
are wen ot drawno nward ,wef ew ,drawno nward ton ew erA
Concatenating Strings
The concatenate function concatenates two strings. This is generic sequence function and you must provide the result type as the first argument.
For example, Create a new source code file named main.lisp and type the following code in it.
(write-line (concatenate 'string "Are we not drawn onward, " "we few, drawn onward to new era"))
When you execute the code, it returns the following result −
Are we not drawn onward, we few, drawn onward to new era
LISP - Sequences
Sequence is an abstract data type in LISP. Vectors and lists are the two concrete subtypes of this data type. All the functionalities defined on sequence data type are actually applied on all vectors and list types.
In this section, we will discuss most commonly used functions on sequences.
Before starting on various ways of manipulating sequences (i.e., vectors and lists), let us have a look at the list of all available functions.
Creating a Sequence
The function make-sequence allows you to create a sequence of any type. The syntax for this function is −
make-sequence sqtype sqsize &key :initial-element
It creates a sequence of type sqtype and of length sqsize.
You may optionally specify some value using the :initial-element argument, then each of the elements will be initialized to this value.
For example, Create a new source code file named main.lisp and type the following code in it.
(write (make-sequence '(vector float) 10 :initial-element 1.0))
When you execute the code, it returns the following result −
#(1.0 1.0 1.0 1.0 1.0 1.0 1.0 1.0 1.0 1.0)
Generic Functions on Sequences
| Sr.No. | Function & Description |
|---|---|
| 1 | elt It allows access to individual elements through an integer index. |
| 2 | length It returns the length of a sequence. |
| 3 | subseq It returns a sub-sequence by extracting the subsequence starting at a particular index and continuing to a particular ending index or the end of the sequence. |
| 4 | copy-seq It returns a sequence that contains the same elements as its argument. |
| 5 | fill It is used to set multiple elements of a sequence to a single value. |
| 6 | replace It takes two sequences and the first argument sequence is destructively modified by copying successive elements into it from the second argument sequence. |
| 7 | count It takes an item and a sequence and returns the number of times the item appears in the sequence. |
| 8 | reverse It returns a sequence contains the same elements of the argument but in reverse order. |
| 9 | nreverse It returns the same sequence containing the same elements as sequence but in reverse order. |
| 10 | concatenate It creates a new sequence containing the concatenation of any number of sequences. |
| 11 | position It takes an item and a sequence and returns the index of the item in the sequence or nil. |
| 12 | find It takes an item and a sequence. It finds the item in the sequence and returns it, if not found then it returns nil. |
| 13 | sort It takes a sequence and a two-argument predicate and returns a sorted version of the sequence. |
| 14 | merge It takes two sequences and a predicate and returns a sequence produced by merging the two sequences, according to the predicate. |
| 15 | map It takes an n-argument function and n sequences and returns a new sequence containing the result of applying the function to subsequent elements of the sequences. |
| 16 | some It takes a predicate as an argument and iterates over the argument sequence, and returns the first non-NIL value returned by the predicate or returns false if the predicate is never satisfied. |
| 17 | every It takes a predicate as an argument and iterate over the argument sequence, it terminates, returning false, as soon as the predicate fails. If the predicate is always satisfied, it returns true. |
| 18 | notany It takes a predicate as an argument and iterate over the argument sequence, and returns false as soon as the predicate is satisfied or true if it never is. |
| 19 | notevery It takes a predicate as an argument and iterate over the argument sequence, and returns true as soon as the predicate fails or false if the predicate is always satisfied. |
| 20 | reduce It maps over a single sequence, applying a two-argument function first to the first two elements of the sequence and then to the value returned by the function and subsequent elements of the sequence. |
| 21 | search It searches a sequence to locate one or more elements satisfying some test. |
| 22 | remove It takes an item and a sequence and returns the sequence with instances of item removed. |
| 23 | delete This also takes an item and a sequence and returns a sequence of the same kind as the argument sequence that has the same elements except the item. |
| 24 | substitute It takes a new item, an existing item, and a sequence and returns a sequence with instances of the existing item replaced with the new item. |
| 25 | nsubstitute It takes a new item, an existing item, and a sequence and returns the same sequence with instances of the existing item replaced with the new item. |
| 26 | mismatch It takes two sequences and returns the index of the first pair of mismatched elements. |
Standard Sequence Function Keyword Arguments
| Argument | Meaning | Default Value |
|---|---|---|
| :test | It is a two-argument function used to compare item (or value extracted by :key function) to element. | EQL |
| :key | One-argument function to extract key value from actual sequence element. NIL means use element as is. | NIL |
| :start | Starting index (inclusive) of subsequence. | 0 |
| :end | Ending index (exclusive) of subsequence. NIL indicates end of sequence. | NIL |
| :from-end | If true, the sequence will be traversed in reverse order, from end to start. | NIL |
| :count | Number indicating the number of elements to remove or substitute or NIL to indicate all (REMOVE and SUBSTITUTE only). | NIL |
We have just discussed various functions and keywords that are used as arguments in these functions working on sequences. In the next sections, we will see how to use these functions using examples.
Finding Length and Element
The length function returns the length of a sequence, and the elt function allows you to access individual elements using an integer index.
Example
Create a new source code file named main.lisp and type the following code in it.
(setq x (vector 'a 'b 'c 'd 'e)) (write (length x)) (terpri) (write (elt x 3))
When you execute the code, it returns the following result −
5 D
Modifying Sequences
Some sequence functions allows iterating through the sequence and perform some operations like, searching, removing, counting or filtering specific elements without writing explicit loops.
The following example demonstrates this −
Example 1
Create a new source code file named main.lisp and type the following code in it.
(write (count 7 '(1 5 6 7 8 9 2 7 3 4 5))) (terpri) (write (remove 5 '(1 5 6 7 8 9 2 7 3 4 5))) (terpri) (write (delete 5 '(1 5 6 7 8 9 2 7 3 4 5))) (terpri) (write (substitute 10 7 '(1 5 6 7 8 9 2 7 3 4 5))) (terpri) (write (find 7 '(1 5 6 7 8 9 2 7 3 4 5))) (terpri) (write (position 5 '(1 5 6 7 8 9 2 7 3 4 5)))
When you execute the code, it returns the following result −
2 (1 6 7 8 9 2 7 3 4) (1 6 7 8 9 2 7 3 4) (1 5 6 10 8 9 2 10 3 4 5) 7 1
Example 2
Create a new source code file named main.lisp and type the following code in it.
(write (delete-if #'oddp '(1 5 6 7 8 9 2 7 3 4 5))) (terpri) (write (delete-if #'evenp '(1 5 6 7 8 9 2 7 3 4 5))) (terpri) (write (remove-if #'evenp '(1 5 6 7 8 9 2 7 3 4 5) :count 1 :from-end t)) (terpri) (setq x (vector 'a 'b 'c 'd 'e 'f 'g)) (fill x 'p :start 1 :end 4) (write x)
When you execute the code, it returns the following result −
(6 8 2 4) (1 5 7 9 7 3 5) (1 5 6 7 8 9 2 7 3 5) #(A P P P E F G)
Sorting and Merging Sequences
The sorting functions take a sequence and a two-argument predicate and return a sorted version of the sequence.
Example 1
Create a new source code file named main.lisp and type the following code in it.
(write (sort '(2 4 7 3 9 1 5 4 6 3 8) #'<)) (terpri) (write (sort '(2 4 7 3 9 1 5 4 6 3 8) #'>)) (terpri)
When you execute the code, it returns the following result −
(1 2 3 3 4 4 5 6 7 8 9) (9 8 7 6 5 4 4 3 3 2 1)
Example 2
Create a new source code file named main.lisp and type the following code in it.
(write (merge 'vector #(1 3 5) #(2 4 6) #'<)) (terpri) (write (merge 'list #(1 3 5) #(2 4 6) #'<)) (terpri)
When you execute the code, it returns the following result −
#(1 2 3 4 5 6) (1 2 3 4 5 6)
Sequence Predicates
The functions every, some, notany, and notevery are called the sequence predicates.
These functions iterate over sequences and test the Boolean predicate.
All these functions takes a predicate as the first argument and the remaining arguments are sequences.
Example
Create a new source code file named main.lisp and type the following code in it.
(write (every #'evenp #(2 4 6 8 10))) (terpri) (write (some #'evenp #(2 4 6 8 10 13 14))) (terpri) (write (every #'evenp #(2 4 6 8 10 13 14))) (terpri) (write (notany #'evenp #(2 4 6 8 10))) (terpri) (write (notevery #'evenp #(2 4 6 8 10 13 14))) (terpri)
When you execute the code, it returns the following result −
T T NIL NIL T
Mapping Sequences
We have already discussed the mapping functions. Similarly the map function allows you to apply a function on to subsequent elements of one or more sequences.
The map function takes a n-argument function and n sequences and returns a new sequence after applying the function to subsequent elements of the sequences.
Example
Create a new source code file named main.lisp and type the following code in it.
(write (map 'vector #'* #(2 3 4 5) #(3 5 4 8)))
When you execute the code, it returns the following result −
#(6 15 16 40)
LISP - Lists
Lists had been the most important and the primary composite data structure in traditional LISP. Present day's Common LISP provides other data structures like, vector, hash table, classes or structures.
Lists are single linked lists. In LISP, lists are constructed as a chain of a simple record structure named cons linked together.
The cons Record Structure
A cons is a record structure containing two components called the car and the cdr.
Cons cells or cons are objects are pairs of values that are created using the function cons.
The cons function takes two arguments and returns a new cons cell containing the two values. These values can be references to any kind of object.
If the second value is not nil, or another cons cell, then the values are printed as a dotted pair enclosed by parentheses.
The two values in a cons cell are called the car and the cdr. The car function is used to access the first value and the cdr function is used to access the second value.
Example
Create a new source code file named main.lisp and type the following code in it.
(write (cons 1 2)) (terpri) (write (cons 'a 'b)) (terpri) (write (cons 1 nil)) (terpri) (write (cons 1 (cons 2 nil))) (terpri) (write (cons 1 (cons 2 (cons 3 nil)))) (terpri) (write (cons 'a (cons 'b (cons 'c nil)))) (terpri) (write ( car (cons 'a (cons 'b (cons 'c nil))))) (terpri) (write ( cdr (cons 'a (cons 'b (cons 'c nil)))))
When you execute the code, it returns the following result −
(1 . 2) (A . B) (1) (1 2) (1 2 3) (A B C) A (B C)
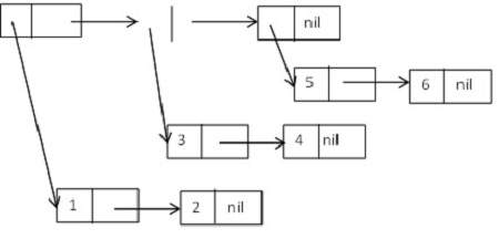
The above example shows how the cons structures could be used to create a single linked list, e.g., the list (A B C) consists of three cons cells linked together by their cdrs.
Diagrammatically, it could be expressed as −
Lists in LISP
Although cons cells can be used to create lists, however, constructing a list out of nested cons function calls can't be the best solution. The list function is rather used for creating lists in LISP.
The list function can take any number of arguments and as it is a function, it evaluates its arguments.
The first and rest functions give the first element and the rest part of a list. The following examples demonstrate the concepts.
Example 1
Create a new source code file named main.lisp and type the following code in it.
(write (list 1 2)) (terpri) (write (list 'a 'b)) (terpri) (write (list 1 nil)) (terpri) (write (list 1 2 3)) (terpri) (write (list 'a 'b 'c)) (terpri) (write (list 3 4 'a (car '(b . c)) (* 4 -2))) (terpri) (write (list (list 'a 'b) (list 'c 'd 'e)))
When you execute the code, it returns the following result −
(1 2) (A B) (1 NIL) (1 2 3) (A B C) (3 4 A B -8) ((A B) (C D E))
Example 2
Create a new source code file named main.lisp and type the following code in it.
(defun my-library (title author rating availability) (list :title title :author author :rating rating :availabilty availability) ) (write (getf (my-library "Hunger Game" "Collins" 9 t) :title))
When you execute the code, it returns the following result −
"Hunger Game"
List Manipulating Functions
The following table provides some commonly used list manipulating functions.
| Sr.No. | Function & Description |
|---|---|
| 1 | car It takes a list as argument, and returns its first element. |
| 2 | cdr It takes a list as argument, and returns a list without the first element |
| 3 | cons It takes two arguments, an element and a list and returns a list with the element inserted at the first place. |
| 4 | list It takes any number of arguments and returns a list with the arguments as member elements of the list. |
| 5 | append It merges two or more list into one. |
| 6 | last It takes a list and returns a list containing the last element. |
| 7 | member It takes two arguments of which the second must be a list, if the first argument is a member of the second argument, and then it returns the remainder of the list beginning with the first argument. |
| 8 | reverse It takes a list and returns a list with the top elements in reverse order. |
Please note that all sequence functions are applicable to lists.
Example 3
Create a new source code file named main.lisp and type the following code in it.
(write (car '(a b c d e f))) (terpri) (write (cdr '(a b c d e f))) (terpri) (write (cons 'a '(b c))) (terpri) (write (list 'a '(b c) '(e f))) (terpri) (write (append '(b c) '(e f) '(p q) '() '(g))) (terpri) (write (last '(a b c d (e f)))) (terpri) (write (reverse '(a b c d (e f))))
When you execute the code, it returns the following result −
A (B C D E F) (A B C) (A (B C) (E F)) (B C E F P Q G) ((E F)) ((E F) D C B A)
Concatenation of car and cdr Functions
The car and cdr functions and their combination allows extracting any particular element/ member of a list.
However, sequences of car and cdr functions could be abbreviated by concatenating the letter a for car and d for cdr within the letters c and r.
For example we can write cadadr to abbreviate the sequence of function calls - car cdr car cdr.
Thus, (cadadr '(a (c d) (e f g))) will return d
Example 4
Create a new source code file named main.lisp and type the following code in it.
(write (cadadr '(a (c d) (e f g)))) (terpri) (write (caar (list (list 'a 'b) 'c))) (terpri) (write (cadr (list (list 1 2) (list 3 4)))) (terpri)
When you execute the code, it returns the following result −
D A (3 4)
LISP - Symbols
In LISP, a symbol is a name that represents data objects and interestingly it is also a data object.
What makes symbols special is that they have a component called the property list, or plist.
Property Lists
LISP allows you to assign properties to symbols. For example, let us have a 'person' object. We would like this 'person' object to have properties like name, sex, height, weight, address, profession etc. A property is like an attribute name.
A property list is implemented as a list with an even number (possibly zero) of elements. Each pair of elements in the list constitutes an entry; the first item is the indicator, and the second is the value.
When a symbol is created, its property list is initially empty. Properties are created by using get within a setf form.
For example, the following statements allow us to assign properties title, author and publisher, and respective values, to an object named (symbol) 'book'.
Example 1
Create a new source code file named main.lisp and type the following code in it.
(write (setf (get 'books'title) '(Gone with the Wind))) (terpri) (write (setf (get 'books 'author) '(Margaret Michel))) (terpri) (write (setf (get 'books 'publisher) '(Warner Books)))
When you execute the code, it returns the following result −
(GONE WITH THE WIND) (MARGARET MICHEL) (WARNER BOOKS)
Various property list functions allow you to assign properties as well as retrieve, replace or remove the properties of a symbol.
The get function returns the property list of symbol for a given indicator. It has the following syntax −
get symbol indicator &optional default
The get function looks for the property list of the given symbol for the specified indicator, if found then it returns the corresponding value; otherwise default is returned (or nil, if a default value is not specified).
Example 2
Create a new source code file named main.lisp and type the following code in it.
(setf (get 'books 'title) '(Gone with the Wind)) (setf (get 'books 'author) '(Margaret Micheal)) (setf (get 'books 'publisher) '(Warner Books)) (write (get 'books 'title)) (terpri) (write (get 'books 'author)) (terpri) (write (get 'books 'publisher))
When you execute the code, it returns the following result −
(GONE WITH THE WIND) (MARGARET MICHEAL) (WARNER BOOKS)
The symbol-plist function allows you to see all the properties of a symbol.
Example 3
Create a new source code file named main.lisp and type the following code in it.
(setf (get 'annie 'age) 43) (setf (get 'annie 'job) 'accountant) (setf (get 'annie 'sex) 'female) (setf (get 'annie 'children) 3) (terpri) (write (symbol-plist 'annie))
When you execute the code, it returns the following result −
(CHILDREN 3 SEX FEMALE JOB ACCOUNTANT AGE 43)
The remprop function removes the specified property from a symbol.
Example 4
Create a new source code file named main.lisp and type the following code in it.
(setf (get 'annie 'age) 43) (setf (get 'annie 'job) 'accountant) (setf (get 'annie 'sex) 'female) (setf (get 'annie 'children) 3) (terpri) (write (symbol-plist 'annie)) (remprop 'annie 'age) (terpri) (write (symbol-plist 'annie))
When you execute the code, it returns the following result −
(CHILDREN 3 SEX FEMALE JOB ACCOUNTANT AGE 43) (CHILDREN 3 SEX FEMALE JOB ACCOUNTANT)
LISP - Vectors
Vectors are one-dimensional arrays, therefore a subtype of array. Vectors and lists are collectively called sequences. Therefore all sequence generic functions and array functions we have discussed so far, work on vectors.
Creating Vectors
The vector function allows you to make fixed-size vectors with specific values. It takes any number of arguments and returns a vector containing those arguments.
Example 1
Create a new source code file named main.lisp and type the following code in it.
(setf v1 (vector 1 2 3 4 5)) (setf v2 #(a b c d e)) (setf v3 (vector 'p 'q 'r 's 't)) (write v1) (terpri) (write v2) (terpri) (write v3)
When you execute the code, it returns the following result −
#(1 2 3 4 5) #(A B C D E) #(P Q R S T)
Please note that LISP uses the #(...) syntax as the literal notation for vectors. You can use this #(... ) syntax to create and include literal vectors in your code.
However, these are literal vectors, so modifying them is not defined in LISP. Therefore, for programming, you should always use the vector function, or the more general function make-array to create vectors you plan to modify.
The make-array function is the more generic way to create a vector. You can access the vector elements using the aref function.
Example 2
Create a new source code file named main.lisp and type the following code in it.
(setq a (make-array 5 :initial-element 0)) (setq b (make-array 5 :initial-element 2)) (dotimes (i 5) (setf (aref a i) i)) (write a) (terpri) (write b) (terpri)
When you execute the code, it returns the following result −
#(0 1 2 3 4) #(2 2 2 2 2)
Fill Pointer
The make-array function allows you to create a resizable vector.
The fill-pointer argument of the function keeps track of the number of elements actually stored in the vector. It's the index of the next position to be filled when you add an element to the vector.
The vector-push function allows you to add an element to the end of a resizable vector. It increases the fill-pointer by 1.
The vector-pop function returns the most recently pushed item and decrements the fill pointer by 1.
Example
Create a new source code file named main.lisp and type the following code in it.
(setq a (make-array 5 :fill-pointer 0)) (write a) (vector-push 'a a) (vector-push 'b a) (vector-push 'c a) (terpri) (write a) (terpri) (vector-push 'd a) (vector-push 'e a) ;this will not be entered as the vector limit is 5 (vector-push 'f a) (write a) (terpri) (vector-pop a) (vector-pop a) (vector-pop a) (write a)
When you execute the code, it returns the following result −
#() #(A B C) #(A B C D E) #(A B)
Vectors being sequences, all sequence functions are applicable for vectors. Please consult the sequences chapter, for vector functions.
LISP - Set
Common Lisp does not provide a set data type. However, it provides number of functions that allows set operations to be performed on a list.
You can add, remove, and search for items in a list, based on various criteria. You can also perform various set operations like: union, intersection, and set difference.
Implementing Sets in LISP
Sets, like lists are generally implemented in terms of cons cells. However, for this very reason, the set operations get less and less efficient the bigger the sets get.
The adjoin function allows you to build up a set. It takes an item and a list representing a set and returns a list representing the set containing the item and all the items in the original set.
The adjoin function first looks for the item in the given list, if it is found, then it returns the original list; otherwise it creates a new cons cell with its car as the item and cdr pointing to the original list and returns this new list.
The adjoin function also takes :key and :test keyword arguments. These arguments are used for checking whether the item is present in the original list.
Since, the adjoin function does not modify the original list, to make a change in the list itself, you must either assign the value returned by adjoin to the original list or, you may use the macro pushnew to add an item to the set.
Example
Create a new source code file named main.lisp and type the following code in it.
; creating myset as an empty list (defparameter *myset* ()) (adjoin 1 *myset*) (adjoin 2 *myset*) ; adjoin did not change the original set ;so it remains same (write *myset*) (terpri) (setf *myset* (adjoin 1 *myset*)) (setf *myset* (adjoin 2 *myset*)) ;now the original set is changed (write *myset*) (terpri) ;adding an existing value (pushnew 2 *myset*) ;no duplicate allowed (write *myset*) (terpri) ;pushing a new value (pushnew 3 *myset*) (write *myset*) (terpri)
When you execute the code, it returns the following result −
NIL (2 1) (2 1) (3 2 1)
Checking Membership
The member group of functions allows you to check whether an element is member of a set or not.
The following are the syntaxes of these functions −
member item list &key :test :test-not :key member-if predicate list &key :key member-if-not predicate list &key :key
These functions search the given list for a given item that satisfies the test. If no such item is found, then the functions returns nil. Otherwise, the tail of the list with the element as the first element is returned.
The search is conducted at the top level only.
These functions could be used as predicates.
Example
Create a new source code file named main.lisp and type the following code in it.
(write (member 'zara '(ayan abdul zara riyan nuha))) (terpri) (write (member-if #'evenp '(3 7 2 5/3 'a))) (terpri) (write (member-if-not #'numberp '(3 7 2 5/3 'a 'b 'c)))
When you execute the code, it returns the following result −
(ZARA RIYAN NUHA)
(2 5/3 'A)
('A 'B 'C)
Set Union
The union group of functions allows you to perform set union on two lists provided as arguments to these functions on the basis of a test.
The following are the syntaxes of these functions −
union list1 list2 &key :test :test-not :key nunion list1 list2 &key :test :test-not :key
The union function takes two lists and returns a new list containing all the elements present in either of the lists. If there are duplications, then only one copy of the member is retained in the returned list.
The nunion function performs the same operation but may destroy the argument lists.
Example
Create a new source code file named main.lisp and type the following code in it.
(setq set1 (union '(a b c) '(c d e)))
(setq set2 (union '(#(a b) #(5 6 7) #(f h))
'(#(5 6 7) #(a b) #(g h)) :test-not #'mismatch)
)
(setq set3 (union '(#(a b) #(5 6 7) #(f h))
'(#(5 6 7) #(a b) #(g h)))
)
(write set1)
(terpri)
(write set2)
(terpri)
(write set3)
When you execute the code, it returns the following result −
(A B C D E) (#(F H) #(5 6 7) #(A B) #(G H)) (#(A B) #(5 6 7) #(F H) #(5 6 7) #(A B) #(G H))
Please Note
The union function does not work as expected without :test-not #'mismatch arguments for a list of three vectors. This is because, the lists are made of cons cells and although the values look same to us apparently, the cdr part of cells does not match, so they are not exactly same to LISP interpreter/compiler. This is the reason; implementing big sets are not advised using lists. It works fine for small sets though.
Set Intersection
The intersection group of functions allows you to perform intersection on two lists provided as arguments to these functions on the basis of a test.
The following are the syntaxes of these functions −
intersection list1 list2 &key :test :test-not :key nintersection list1 list2 &key :test :test-not :key
These functions take two lists and return a new list containing all the elements present in both argument lists. If either list has duplicate entries, the redundant entries may or may not appear in the result.
Example
Create a new source code file named main.lisp and type the following code in it.
(setq set1 (intersection '(a b c) '(c d e)))
(setq set2 (intersection '(#(a b) #(5 6 7) #(f h))
'(#(5 6 7) #(a b) #(g h)) :test-not #'mismatch)
)
(setq set3 (intersection '(#(a b) #(5 6 7) #(f h))
'(#(5 6 7) #(a b) #(g h)))
)
(write set1)
(terpri)
(write set2)
(terpri)
(write set3)
When you execute the code, it returns the following result −
(C) (#(A B) #(5 6 7)) NIL
The intersection function is the destructive version of intersection, i.e., it may destroy the original lists.
Set Difference
The set-difference group of functions allows you to perform set difference on two lists provided as arguments to these functions on the basis of a test.
The following are the syntaxes of these functions −
set-difference list1 list2 &key :test :test-not :key nset-difference list1 list2 &key :test :test-not :key
The set-difference function returns a list of elements of the first list that do not appear in the second list.
Example
Create a new source code file named main.lisp and type the following code in it.
(setq set1 (set-difference '(a b c) '(c d e))) (setq set2 (set-difference '(#(a b) #(5 6 7) #(f h)) '(#(5 6 7) #(a b) #(g h)) :test-not #'mismatch) ) (setq set3 (set-difference '(#(a b) #(5 6 7) #(f h)) '(#(5 6 7) #(a b) #(g h))) ) (write set1) (terpri) (write set2) (terpri) (write set3)
When you execute the code, it returns the following result −
(A B) (#(F H)) (#(A B) #(5 6 7) #(F H))
LISP - Tree
You can build tree data structures from cons cells, as lists of lists.
To implement tree structures, you will have to design functionalities that would traverse through the cons cells, in specific order, for example, pre-order, in-order, and post-order for binary trees.
Tree as List of Lists
Let us consider a tree structure made up of cons cell that form the following list of lists −
((1 2) (3 4) (5 6)).
Diagrammatically, it could be expressed as −
Tree Functions in LISP
Although mostly you will need to write your own tree-functionalities according to your specific need, LISP provides some tree functions that you can use.
Apart from all the list functions, the following functions work especially on tree structures −
| Sr.No. | Function & Description |
|---|---|
| 1 | copy-tree x & optional vecp It returns a copy of the tree of cons cells x. It recursively copies both the car and the cdr directions. If x is not a cons cell, the function simply returns x unchanged. If the optional vecp argument is true, this function copies vectors (recursively) as well as cons cells. |
| 2 | tree-equal x y & key :test :test-not :key It compares two trees of cons cells. If x and y are both cons cells, their cars and cdrs are compared recursively. If neither x nor y is a cons cell, they are compared by eql, or according to the specified test. The :key function, if specified, is applied to the elements of both trees. |
| 3 | subst new old tree & key :test :test-not :key It substitutes occurrences of given old item with new item, in tree, which is a tree of cons cells. |
| 4 | nsubst new old tree & key :test :test-not :key It works same as subst, but it destroys the original tree. |
| 5 | sublis alist tree & key :test :test-not :key It works like subst, except that it takes an association list alist of old-new pairs. Each element of the tree (after applying the :key function, if any), is compared with the cars of alist; if it matches, it is replaced by the corresponding cdr. |
| 6 | nsublis alist tree & key :test :test-not :key It works same as sublis, but a destructive version. |
Example 1
Create a new source code file named main.lisp and type the following code in it.
(setq lst (list '(1 2) '(3 4) '(5 6))) (setq mylst (copy-list lst)) (setq tr (copy-tree lst)) (write lst) (terpri) (write mylst) (terpri) (write tr)
When you execute the code, it returns the following result −
((1 2) (3 4) (5 6)) ((1 2) (3 4) (5 6)) ((1 2) (3 4) (5 6))
Example 2
Create a new source code file named main.lisp and type the following code in it.
(setq tr '((1 2 (3 4 5) ((7 8) (7 8 9))))) (write tr) (setq trs (subst 7 1 tr)) (terpri) (write trs)
When you execute the code, it returns the following result −
((1 2 (3 4 5) ((7 8) (7 8 9)))) ((7 2 (3 4 5) ((7 8) (7 8 9))))
Building Your Own Tree
Let us try to build our own tree, using the list functions available in LISP.
First let us create a new node that contains some data
(defun make-tree (item) "it creates a new node with item." (cons (cons item nil) nil) )
Next let us add a child node into the tree - it will take two tree nodes and add the second tree as the child of the first.
(defun add-child (tree child) (setf (car tree) (append (car tree) child)) tree)
This function will return the first child a given tree - it will take a tree node and return the first child of that node, or nil, if this node does not have any child node.
(defun first-child (tree)
(if (null tree)
nil
(cdr (car tree))
)
)
This function will return the next sibling of a given node - it takes a tree node as argument, and returns a reference to the next sibling node, or nil, if the node does not have any.
(defun next-sibling (tree) (cdr tree) )
Lastly we need a function to return the information in a node −
(defun data (tree) (car (car tree)) )
Example
This example uses the above functionalities −
Create a new source code file named main.lisp and type the following code in it.
(defun make-tree (item)
"it creates a new node with item."
(cons (cons item nil) nil)
)
(defun first-child (tree)
(if (null tree)
nil
(cdr (car tree))
)
)
(defun next-sibling (tree)
(cdr tree)
)
(defun data (tree)
(car (car tree))
)
(defun add-child (tree child)
(setf (car tree) (append (car tree) child))
tree
)
(setq tr '((1 2 (3 4 5) ((7 8) (7 8 9)))))
(setq mytree (make-tree 10))
(write (data mytree))
(terpri)
(write (first-child tr))
(terpri)
(setq newtree (add-child tr mytree))
(terpri)
(write newtree)
When you execute the code, it returns the following result −
10 (2 (3 4 5) ((7 8) (7 8 9))) ((1 2 (3 4 5) ((7 8) (7 8 9)) (10)))
LISP - Hash Table
The hash table data structure represents a collection of key-and-value pairs that are organized based on the hash code of the key. It uses the key to access the elements in the collection.
A hash table is used when you need to access elements by using a key, and you can identify a useful key value. Each item in the hash table has a key/value pair. The key is used to access the items in the collection.
Creating Hash Table in LISP
In Common LISP, hash table is a general-purpose collection. You can use arbitrary objects as a key or indexes.
When you store a value in a hash table, you make a key-value pair, and store it under that key. Later you can retrieve the value from the hash table using the same key. Each key maps to a single value, although you can store a new value in a key.
Hash tables, in LISP, could be categorized into three types, based on the way the keys could be compared - eq, eql or equal. If the hash table is hashed on LISP objects then the keys are compared with eq or eql. If the hash table hash on tree structure, then it would be compared using equal.
The make-hash-table function is used for creating a hash table. Syntax for this function is −
make-hash-table &key :test :size :rehash-size :rehash-threshold
Where −
The key argument provides the key.
The :test argument determines how keys are compared - it should have one of three values #'eq, #'eql, or #'equal, or one of the three symbols eq, eql, or equal. If not specified, eql is assumed.
The :size argument sets the initial size of the hash table. This should be an integer greater than zero.
The :rehash-size argument specifies how much to increase the size of the hash table when it becomes full. This can be an integer greater than zero, which is the number of entries to add, or it can be a floating-point number greater than 1, which is the ratio of the new size to the old size. The default value for this argument is implementation-dependent.
The :rehash-threshold argument specifies how full the hash table can get before it must grow. This can be an integer greater than zero and less than the :rehash-size (in which case it will be scaled whenever the table is grown), or it can be a floating-point number between zero and 1. The default value for this argument is implementation-dependent.
You can also call the make-hash-table function with no arguments.
Retrieving Items from and Adding Items into the Hash Table
The gethash function retrieves an item from the hash table by searching for its key. If it does not find the key, then it returns nil.
It has the following syntax −
gethash key hash-table &optional default
where −
key: is the associated key
hash-table: is the hash-table to be searched
default: is the value to be returned, if the entry is not found, which is nil, if not specified.
The gethash function actually returns two values, the second being a predicate value that is true if an entry was found, and false if no entry was found.
For adding an item to the hash table, you can use the setf function along with the gethash function.
Example
Create a new source code file named main.lisp and type the following code in it.
(setq empList (make-hash-table)) (setf (gethash '001 empList) '(Charlie Brown)) (setf (gethash '002 empList) '(Freddie Seal)) (write (gethash '001 empList)) (terpri) (write (gethash '002 empList))
When you execute the code, it returns the following result −
(CHARLIE BROWN) (FREDDIE SEAL)
Removing an Entry
The remhash function removes any entry for a specific key in hash-table. This is a predicate that is true if there was an entry or false if there was not.
The syntax for this function is −
remhash key hash-table
Example
Create a new source code file named main.lisp and type the following code in it.
(setq empList (make-hash-table)) (setf (gethash '001 empList) '(Charlie Brown)) (setf (gethash '002 empList) '(Freddie Seal)) (setf (gethash '003 empList) '(Mark Mongoose)) (write (gethash '001 empList)) (terpri) (write (gethash '002 empList)) (terpri) (write (gethash '003 empList)) (remhash '003 empList) (terpri) (write (gethash '003 empList))
When you execute the code, it returns the following result −
(CHARLIE BROWN) (FREDDIE SEAL) (MARK MONGOOSE) NIL
The maphash Function
The maphash function allows you to apply a specified function on each key-value pair on a hash table.
It takes two arguments - the function and a hash table and invokes the function once for each key/value pair in the hash table.
Example
Create a new source code file named main.lisp and type the following code in it.
(setq empList (make-hash-table)) (setf (gethash '001 empList) '(Charlie Brown)) (setf (gethash '002 empList) '(Freddie Seal)) (setf (gethash '003 empList) '(Mark Mongoose)) (maphash #'(lambda (k v) (format t "~a => ~a~%" k v)) empList)
When you execute the code, it returns the following result −
3 => (MARK MONGOOSE) 2 => (FREDDIE SEAL) 1 => (CHARLIE BROWN)
LISP - Input & Output
Common LISP provides numerous input-output functions. We have already used the format function, and print function for output. In this section, we will look into some of the most commonly used input-output functions provided in LISP.
Input Functions
The following table provides the most commonly used input functions of LISP −
| Sr.No. | Function & Description |
|---|---|
| 1 | read & optional input-stream eof-error-p eof-value recursive-p It reads in the printed representation of a Lisp object from input-stream, builds a corresponding Lisp object, and returns the object. |
| 2 | read-preserving-whitespace & optional in-stream eof-error-p eof-value recursive-p It is used in some specialized situations where it is desirable to determine precisely what character terminated the extended token. |
| 3 | read-line & optional input-stream eof-error-p eof-value recursive-p It reads in a line of text terminated by a newline. |
| 4 | read-char & optional input-stream eof-error-p eof-value recursive-p It takes one character from input-stream and returns it as a character object. |
| 5 | unread-char character & optional input-stream It puts the character most recently read from the input-stream, onto the front of input-stream. |
| 6 | peek-char & optional peek-type input-stream eof-error-p eof-value recursive-p It returns the next character to be read from input-stream, without actually removing it from the input stream. |
| 7 | listen & optional input-stream The predicate listen is true if there is a character immediately available from input-stream, and is false if not. |
| 8 | read-char-no-hang & optional input-stream eof-error-p eof-value recursive-p It is similar to read-char, but if it does not get a character, it does not wait for a character, but returns nil immediately. |
| 9 | clear-input & optional input-stream It clears any buffered input associated with input-stream. |
| 10 | read-from-string string & optional eof-error-p eof-value & key :start :end :preserve-whitespace It takes the characters of the string successively and builds a LISP object and returns the object. It also returns the index of the first character in the string not read, or the length of the string (or, length +1), as the case may be. |
| 11 | parse-integer string & key :start :end :radix :junk-allowed It examines the substring of string delimited by :start and :end (default to the beginning and end of the string). It skips over whitespace characters and then attempts to parse an integer. |
| 12 | read-byte binary-input-stream & optional eof-error-p eof-value It reads one byte from the binary-input-stream and returns it in the form of an integer. |
Reading Input from Keyboard
The read function is used for taking input from the keyboard. It may not take any argument.
For example, consider the code snippet −
(write ( + 15.0 (read)))
Assume the user enters 10.2 from the STDIN Input, it returns,
25.2
The read function reads characters from an input stream and interprets them by parsing as representations of Lisp objects.
Example
Create a new source code file named main.lisp and type the following code in it −
; the function AreaOfCircle ; calculates area of a circle ; when the radius is input from keyboard (defun AreaOfCircle() (terpri) (princ "Enter Radius: ") (setq radius (read)) (setq area (* 3.1416 radius radius)) (princ "Area: ") (write area)) (AreaOfCircle)
When you execute the code, it returns the following result −
Enter Radius: 5 (STDIN Input) Area: 78.53999
Example
Create a new source code file named main.lisp and type the following code in it.
(with-input-from-string (stream "Welcome to Tutorials Point!") (print (read-char stream)) (print (read-char stream)) (print (read-char stream)) (print (read-char stream)) (print (read-char stream)) (print (read-char stream)) (print (read-char stream)) (print (read-char stream)) (print (read-char stream)) (print (read-char stream)) (print (peek-char nil stream nil 'the-end)) (values) )
When you execute the code, it returns the following result −
#\W #\e #\l #\c #\o #\m #\e #\Space #\t #\o #\Space
The Output Functions
All output functions in LISP take an optional argument called output-stream, where the output is sent. If not mentioned or nil, output-stream defaults to the value of the variable *standard-output*.
The following table provides the most commonly used output functions of LISP −
| Sr.No. | Function and Description |
|---|---|
| 1 | write object & key :stream :escape :radix :base :circle :pretty :level :length :case :gensym :array write object & key :stream :escape :radix :base :circle :pretty :level :length :case :gensym :array :readably :right-margin :miser-width :lines :pprint-dispatch Both write the object to the output stream specified by :stream, which defaults to the value of *standard-output*. Other values default to the corresponding global variables set for printing. |
| 2 |
prin1 object & optional output-stream print object & optional output-stream pprint object & optional output-stream princ object & optional output-stream All these functions outputs the printed representation of object to output-stream. However, the following differences are there −
|
| 3 | write-to-string object & key :escape :radix :base :circle :pretty :level :length :case :gensym :array write-to-string object & key :escape :radix :base :circle :pretty :level :length :case :gensym :array :readably :right-margin :miser-width :lines :pprint-dispatch prin1-to-string object princ-to-string object The object is effectively printed and the output characters are made into a string, which is returned. |
| 4 | write-char character & optional output-stream It outputs the character to output-stream, and returns character. |
| 5 | write-string string & optional output-stream & key :start :end It writes the characters of the specified substring of string to the output-stream. |
| 6 | write-line string & optional output-stream & key :start :end It works the same way as write-string, but outputs a newline afterwards. |
| 7 | terpri & optional output-stream It outputs a newline to output-stream. |
| 8 | fresh-line & optional output-stream it outputs a newline only if the stream is not already at the start of a line. |
| 9 | finish-output & optional output-stream force-output & optional output-stream clear-output & optional output-stream
|
| 10 | write-byte integer binary-output-stream It writes one byte, the value of the integer. |
Example
Create a new source code file named main.lisp and type the following code in it.
; this program inputs a numbers and doubles it (defun DoubleNumber() (terpri) (princ "Enter Number : ") (setq n1 (read)) (setq doubled (* 2.0 n1)) (princ "The Number: ") (write n1) (terpri) (princ "The Number Doubled: ") (write doubled) ) (DoubleNumber)
When you execute the code, it returns the following result −
Enter Number : 3456.78 (STDIN Input) The Number: 3456.78 The Number Doubled: 6913.56
Formatted Output
The function format is used for producing nicely formatted text. It has the following syntax −
format destination control-string &rest arguments
where,
- destination is standard output
- control-string holds the characters to be output and the printing directive.
A format directive consists of a tilde (~), optional prefix parameters separated by commas, optional colon (:) and at-sign (@) modifiers, and a single character indicating what kind of directive this is.
The prefix parameters are generally integers, notated as optionally signed decimal numbers.
The following table provides brief description of the commonly used directives −
| Sr.No. | Directive & Description |
|---|---|
| 1 | ~A Is followed by ASCII arguments. |
| 2 | ~S Is followed by S-expressions. |
| 3 | ~D For decimal arguments. |
| 4 | ~B For binary arguments. |
| 5 | ~O For octal arguments. |
| 6 | ~X For hexadecimal arguments. |
| 7 | ~C For character arguments. |
| 8 | ~F For Fixed-format floating-point arguments. |
| 9 | ~E Exponential floating-point arguments. |
| 10 | ~$ Dollar and floating point arguments. |
| 11 | ~% A new line is printed. |
| 12 | ~* Next argument is ignored. |
| 13 | ~? Indirection. The next argument must be a string, and the one after it a list. |
Example
Let us rewrite the program calculating a circle's area −
Create a new source code file named main.lisp and type the following code in it.
(defun AreaOfCircle() (terpri) (princ "Enter Radius: ") (setq radius (read)) (setq area (* 3.1416 radius radius)) (format t "Radius: = ~F~% Area = ~F" radius area) ) (AreaOfCircle)
When you execute the code, it returns the following result −
Enter Radius: 10.234 (STDIN Input) Radius: = 10.234 Area = 329.03473
LISP - File I/O
We have discussed about how standard input and output is handled by common LISP. All these functions work for reading from and writing into text and binary files too. Only difference is in this case the stream we use is not standard input or output, but a stream created for the specific purpose of writing into or reading from files.
In this chapter we will see how LISP can create, open, close text or binary files for their data storage.
A file represents a sequence of bytes, does not matter if it is a text file or binary file. This chapter will take you through important functions/macros for the file management.
Opening Files
You can use the open function to create a new file or to open an existing file. It is the most basic function for opening a file. However, the with-open-file is usually more convenient and more commonly used, as we will see later in this section.
When a file is opened, a stream object is constructed to represent it in the LISP environment. All operations on the stream are basically equivalent to operations on the file.
Syntax for the open function is −
open filename &key :direction :element-type :if-exists :if-does-not-exist :external-format
where,
The filename argument is the name of the file to be opened or created.
The keyword arguments specify the type of stream and error handling ways.
The :direction keyword specifies whether the stream should handle input, output, or both, it takes the following values −
:input - for input streams (default value)
:output - for output streams
:io - for bidirectional streams
:probe - for just checking a files existence; the stream is opened and then closed.
The :element-type specifies the type of the unit of transaction for the stream.
The :if-exists argument specifies the action to be taken if the :direction is :output or :io and a file of the specified name already exists. If the direction is :input or :probe, this argument is ignored. It takes the following values −
:error - it signals an error.
:new-version - it creates a new file with the same name but larger version number.
:rename - it renames the existing file.
:rename-and-delete - it renames the existing file and then deletes it.
:append - it appends to the existing file.
:supersede - it supersedes the existing file.
nil - it does not create a file or even a stream just returns nil to indicate failure.
The :if-does-not-exist argument specifies the action to be taken if a file of the specified name does not already exist. It takes the following values −
:error - it signals an error.
:create - it creates an empty file with the specified name and then uses it.
nil - it does not create a file or even a stream, but instead simply returns nil to indicate failure.
The :external-format argument specifies an implementation-recognized scheme for representing characters in files.
For example, you can open a file named myfile.txt stored in the /tmp folder as −
(open "/tmp/myfile.txt")
Writing to and Reading from Files
The with-open-file allows reading or writing into a file, using the stream variable associated with the read/write transaction. Once the job is done, it automatically closes the file. It is extremely convenient to use.
It has the following syntax −
with-open-file (stream filename {options}*)
{declaration}* {form}*
filename is the name of the file to be opened; it may be a string, a pathname, or a stream.
The options are same as the keyword arguments to the function open.
Example 1
Create a new source code file named main.lisp and type the following code in it.
(with-open-file (stream "/tmp/myfile.txt" :direction :output) (format stream "Welcome to Tutorials Point!") (terpri stream) (format stream "This is a tutorials database") (terpri stream) (format stream "Submit your Tutorials, White Papers and Articles into our Tutorials Directory.") )
Please note that all input-output functions discussed in the previous chapter, such as, terpri and format are working for writing into the file we created here.
When you execute the code, it does not return anything; however, our data is written into the file. The :direction :output keywords allows us do this.
However, we can read from this file using the read-line function.
Example 2
Create a new source code file named main.lisp and type the following code in it.
(let ((in (open "/tmp/myfile.txt" :if-does-not-exist nil)))
(when in
(loop for line = (read-line in nil)
while line do (format t "~a~%" line))
(close in)
)
)
When you execute the code, it returns the following result −
Welcome to Tutorials Point! This is a tutorials database Submit your Tutorials, White Papers and Articles into our Tutorials Directory.
Closing File
The close function closes a stream.
LISP - Structures
Structures are one of the user-defined data type, which allows you to combine data items of different kinds.
Structures are used to represent a record. Suppose you want to keep track of your books in a library. You might want to track the following attributes about each book −
- Title
- Author
- Subject
- Book ID
Defining a Structure
The defstruct macro in LISP allows you to define an abstract record structure. The defstruct statement defines a new data type, with more than one member for your program.
To discuss the format of the defstruct macro, let us write the definition of the Book structure. We could define the book structure as −
(defstruct book title author subject book-id )
Please note
The above declaration creates a book structure with four named components. So every book created will be an object of this structure.
It defines four functions named book-title, book-author, book-subject and book-book-id, which will take one argument, a book structure, and will return the fields title, author, subject and book-id of the book object. These functions are called the access functions.
The symbol book becomes a data type and you can check it using the typep predicate.
There will also be an implicit function named book-p, which is a predicate and will be true if its argument is a book and is false otherwise.
Another implicit function named make-book will be created, which is a constructor, which, when invoked, will create a data structure with four components, suitable for use with the access functions.
The #S syntax refers to a structure, and you can use it to read or print instances of a book.
An implicit function named copy-book of one argument is also defined that. It takes a book object and creates another book object, which is a copy of the first one. This function is called the copier function.
You can use setf to alter the components of a book, for example
(setf (book-book-id book3) 100)
Example
Create a new source code file named main.lisp and type the following code in it.
(defstruct book title author subject book-id ) ( setq book1 (make-book :title "C Programming" :author "Nuha Ali" :subject "C-Programming Tutorial" :book-id "478") ) ( setq book2 (make-book :title "Telecom Billing" :author "Zara Ali" :subject "C-Programming Tutorial" :book-id "501") ) (write book1) (terpri) (write book2) (setq book3( copy-book book1)) (setf (book-book-id book3) 100) (terpri) (write book3)
When you execute the code, it returns the following result −
#S(BOOK :TITLE "C Programming" :AUTHOR "Nuha Ali" :SUBJECT "C-Programming Tutorial" :BOOK-ID "478") #S(BOOK :TITLE "Telecom Billing" :AUTHOR "Zara Ali" :SUBJECT "C-Programming Tutorial" :BOOK-ID "501") #S(BOOK :TITLE "C Programming" :AUTHOR "Nuha Ali" :SUBJECT "C-Programming Tutorial" :BOOK-ID 100)
LISP - Packages
In general term of programming languages, a package is designed for providing a way to keep one set of names separate from another. The symbols declared in one package will not conflict with the same symbols declared in another. This way packages reduce the naming conflicts between independent code modules.
The LISP reader maintains a table of all the symbols it has found. When it finds a new character sequence, it creates a new symbol and stores in the symbol table. This table is called a package.
The current package is referred by the special variable *package*.
There are two predefined packages in LISP −
common-lisp − it contains symbols for all the functions and variables defined.
common-lisp-user − it uses the common-lisp package and all other packages with editing and debugging tools; it is called cl-user in short
Package Functions in LISP
The following table provides most commonly used functions used for creating, using and manipulating packages −
| Sr.No. | Function and Description |
|---|---|
| 1 | make-package package-name &key :nicknames :use It creates and returns a new package with the specified package name. |
| 2 | in-package package-name &key :nicknames :use Makes the package current. |
| 3 | in-package name This macro causes *package* to be set to the package named name, which must be a symbol or string. |
| 4 |
find-package name It searches for a package. The package with that name or nickname is returned; if no such package exists, find-package returns nil. |
| 5 |
rename-package package new-name &optional new-nicknames it renames a package. |
| 6 |
list-all-packages This function returns a list of all packages that currently exist in the Lisp system. |
| 7 |
delete-package package It deletes a package. |
Creating a LISP Package
The defpackage function is used for creating an user defined package. It has the following syntax −
(defpackage :package-name (:use :common-lisp ...) (:export :symbol1 :symbol2 ...) )
Where,
package-name is the name of the package.
The :use keyword specifies the packages that this package needs, i.e., packages that define functions used by code in this package.
The :export keyword specifies the symbols that are external in this package.
The make-package function is also used for creating a package. The syntax for this function is −
make-package package-name &key :nicknames :use
the arguments and keywords has same meaning as before.
Using a Package
Once you have created a package, you can use the code in this package, by making it the current package. The in-package macro makes a package current in the environment.
Example
Create a new source code file named main.lisp and type the following code in it.
(make-package :tom) (make-package :dick) (make-package :harry) (in-package tom) (defun hello () (write-line "Hello! This is Tom's Tutorials Point") ) (hello) (in-package dick) (defun hello () (write-line "Hello! This is Dick's Tutorials Point") ) (hello) (in-package harry) (defun hello () (write-line "Hello! This is Harry's Tutorials Point") ) (hello) (in-package tom) (hello) (in-package dick) (hello) (in-package harry) (hello)
When you execute the code, it returns the following result −
Hello! This is Tom's Tutorials Point Hello! This is Dick's Tutorials Point Hello! This is Harry's Tutorials Point
Deleting a Package
The delete-package macro allows you to delete a package. The following example demonstrates this −
Example
Create a new source code file named main.lisp and type the following code in it.
(make-package :tom) (make-package :dick) (make-package :harry) (in-package tom) (defun hello () (write-line "Hello! This is Tom's Tutorials Point") ) (in-package dick) (defun hello () (write-line "Hello! This is Dick's Tutorials Point") ) (in-package harry) (defun hello () (write-line "Hello! This is Harry's Tutorials Point") ) (in-package tom) (hello) (in-package dick) (hello) (in-package harry) (hello) (delete-package tom) (in-package tom) (hello)
When you execute the code, it returns the following result −
Hello! This is Tom's Tutorials Point Hello! This is Dick's Tutorials Point Hello! This is Harry's Tutorials Point *** - EVAL: variable TOM has no value
LISP - Error Handling
In Common LISP terminology, exceptions are called conditions.
In fact, conditions are more general than exceptions in traditional programming languages, because a condition represents any occurrence, error, or not, which might affect various levels of function call stack.
Condition handling mechanism in LISP, handles such situations in such a way that conditions are used to signal warning (say by printing an warning) while the upper level code on the call stack can continue its work.
The condition handling system in LISP has three parts −
- Signalling a condition
- Handling the condition
- Restart the process
Handling a Condition
Let us take up an example of handling a condition arising out of divide by zero condition, to explain the concepts here.
You need to take the following steps for handling a condition −
Define the Condition − "A condition is an object whose class indicates the general nature of the condition and whose instance data carries information about the details of the particular circumstances that lead to the condition being signalled".
The define-condition macro is used for defining a condition, which has the following syntax −
(define-condition condition-name (error) ((text :initarg :text :reader text)) )
New condition objects are created with MAKE-CONDITION macro, which initializes the slots of the new condition based on the :initargs argument.
In our example, the following code defines the condition −
(define-condition on-division-by-zero (error) ((message :initarg :message :reader message)) )
Writing the Handlers − a condition handler is a code that are used for handling the condition signalled thereon. It is generally written in one of the higher level functions that call the erroring function. When a condition is signalled, the signalling mechanism searches for an appropriate handler based on the condition's class.
Each handler consists of −
- Type specifier, that indicates the type of condition it can handle
- A function that takes a single argument, the condition
When a condition is signalled, the signalling mechanism finds the most recently established handler that is compatible with the condition type and calls its function.
The macro handler-case establishes a condition handler. The basic form of a handler-case −
(handler-case expression error-clause*)
Where, each error clause is of the form −
condition-type ([var]) code)
Restarting Phase
This is the code that actually recovers your program from errors, and condition handlers can then handle a condition by invoking an appropriate restart. The restart code is generally place in middle-level or low-level functions and the condition handlers are placed into the upper levels of the application.
The handler-bind macro allows you to provide a restart function, and allows you to continue at the lower level functions without unwinding the function call stack. In other words, the flow of control will still be in the lower level function.
The basic form of handler-bind is as follows −
(handler-bind (binding*) form*)
Where each binding is a list of the following −
- a condition type
- a handler function of one argument
The invoke-restart macro finds and invokes the most recently bound restart function with the specified name as argument.
You can have multiple restarts.
Example
In this example, we demonstrate the above concepts by writing a function named division-function, which will create an error condition if the divisor argument is zero. We have three anonymous functions that provide three ways to come out of it - by returning a value 1, by sending a divisor 2 and recalculating, or by returning 1.
Create a new source code file named main.lisp and type the following code in it.
(define-condition on-division-by-zero (error)
((message :initarg :message :reader message))
)
(defun handle-infinity ()
(restart-case
(let ((result 0))
(setf result (division-function 10 0))
(format t "Value: ~a~%" result)
)
(just-continue () nil)
)
)
(defun division-function (value1 value2)
(restart-case
(if (/= value2 0)
(/ value1 value2)
(error 'on-division-by-zero :message "denominator is zero")
)
(return-zero () 0)
(return-value (r) r)
(recalc-using (d) (division-function value1 d))
)
)
(defun high-level-code ()
(handler-bind
(
(on-division-by-zero
#'(lambda (c)
(format t "error signaled: ~a~%" (message c))
(invoke-restart 'return-zero)
)
)
(handle-infinity)
)
)
)
(handler-bind
(
(on-division-by-zero
#'(lambda (c)
(format t "error signaled: ~a~%" (message c))
(invoke-restart 'return-value 1)
)
)
)
(handle-infinity)
)
(handler-bind
(
(on-division-by-zero
#'(lambda (c)
(format t "error signaled: ~a~%" (message c))
(invoke-restart 'recalc-using 2)
)
)
)
(handle-infinity)
)
(handler-bind
(
(on-division-by-zero
#'(lambda (c)
(format t "error signaled: ~a~%" (message c))
(invoke-restart 'just-continue)
)
)
)
(handle-infinity)
)
(format t "Done."))
When you execute the code, it returns the following result −
error signaled: denominator is zero Value: 1 error signaled: denominator is zero Value: 5 error signaled: denominator is zero Done.
Apart from the 'Condition System', as discussed above, Common LISP also provides various functions that may be called for signalling an error. Handling of an error, when signalled, is however, implementation-dependent.
Error Signalling Functions in LISP
The following table provides commonly used functions signalling warnings, breaks, non-fatal and fatal errors.
The user program specifies an error message (a string). The functions process this message and may/may not display it to the user.
The error messages should be constructed by applying the format function, should not contain a newline character at either the beginning or end, and need not indicate error, as the LISP system will take care of these according to its preferred style.
| Sr.No. | Function and Description |
|---|---|
| 1 |
error format-string &rest args It signals a fatal error. It is impossible to continue from this kind of error; thus error will never return to its caller. |
| 2 |
cerror continue-format-string error-format-string &rest args It signals an error and enters the debugger. However, it allows the program to be continued from the debugger after resolving the error. |
| 3 |
warn format-string &rest args it prints an error message but normally doesn't go into the debugger |
| 4 |
break &optional format-string &rest args It prints the message and goes directly into the debugger, without allowing any possibility of interception by programmed error-handling facilities |
Example
In this example, the factorial function calculates factorial of a number; however, if the argument is negative, it raises an error condition.
Create a new source code file named main.lisp and type the following code in it.
(defun factorial (x)
(cond ((or (not (typep x 'integer)) (minusp x))
(error "~S is a negative number." x))
((zerop x) 1)
(t (* x (factorial (- x 1))))
)
)
(write(factorial 5))
(terpri)
(write(factorial -1))
When you execute the code, it returns the following result −
120 *** - -1 is a negative number.
LISP - CLOS
Common LISP predated the advance of object-oriented programming by couple of decades. However, it object-orientation was incorporated into it at a later stage.
Defining Classes
The defclass macro allows creating user-defined classes. It establishes a class as a data type. It has the following syntax −
(defclass class-name (superclass-name*) (slot-description*) class-option*))
The slots are variables that store data, or fields.
A slot-description has the form (slot-name slot-option*), where each option is a keyword followed by a name, expression and other options. Most commonly used slot options are −
:accessor function-name
:initform expression
:initarg symbol
For example, let us define a Box class, with three slots length, breadth, and height.
(defclass Box () (length breadth height) )
Providing Access and Read/Write Control to a Slot
Unless the slots have values that can be accessed, read or written to, classes are pretty useless.
You can specify accessors for each slot when you define a class. For example, take our Box class −
(defclass Box ()
((length :accessor length)
(breadth :accessor breadth)
(height :accessor height)
)
)
You can also specify separate accessor names for reading and writing a slot.
(defclass Box ()
((length :reader get-length :writer set-length)
(breadth :reader get-breadth :writer set-breadth)
(height :reader get-height :writer set-height)
)
)
Creating Instance of a Class
The generic function make-instance creates and returns a new instance of a class.
It has the following syntax −
(make-instance class {initarg value}*)
Example
Let us create a Box class, with three slots, length, breadth and height. We will use three slot accessors to set the values in these fields.
Create a new source code file named main.lisp and type the following code in it.
(defclass box ()
((length :accessor box-length)
(breadth :accessor box-breadth)
(height :accessor box-height)
)
)
(setf item (make-instance 'box))
(setf (box-length item) 10)
(setf (box-breadth item) 10)
(setf (box-height item) 5)
(format t "Length of the Box is ~d~%" (box-length item))
(format t "Breadth of the Box is ~d~%" (box-breadth item))
(format t "Height of the Box is ~d~%" (box-height item))
When you execute the code, it returns the following result −
Length of the Box is 10 Breadth of the Box is 10 Height of the Box is 5
Defining a Class Method
The defmethod macro allows you to define a method inside the class. The following example extends our Box class to include a method named volume.
Create a new source code file named main.lisp and type the following code in it.
(defclass box ()
((length :accessor box-length)
(breadth :accessor box-breadth)
(height :accessor box-height)
(volume :reader volume)
)
)
; method calculating volume
(defmethod volume ((object box))
(* (box-length object) (box-breadth object)(box-height object))
)
;setting the values
(setf item (make-instance 'box))
(setf (box-length item) 10)
(setf (box-breadth item) 10)
(setf (box-height item) 5)
; displaying values
(format t "Length of the Box is ~d~%" (box-length item))
(format t "Breadth of the Box is ~d~%" (box-breadth item))
(format t "Height of the Box is ~d~%" (box-height item))
(format t "Volume of the Box is ~d~%" (volume item))
When you execute the code, it returns the following result −
Length of the Box is 10 Breadth of the Box is 10 Height of the Box is 5 Volume of the Box is 500
Inheritance
LISP allows you to define an object in terms of another object. This is called inheritance. You can create a derived class by adding features that are new or different. The derived class inherits the functionalities of the parent class.
The following example explains this −
Example
Create a new source code file named main.lisp and type the following code in it.
(defclass box ()
((length :accessor box-length)
(breadth :accessor box-breadth)
(height :accessor box-height)
(volume :reader volume)
)
)
; method calculating volume
(defmethod volume ((object box))
(* (box-length object) (box-breadth object)(box-height object))
)
;wooden-box class inherits the box class
(defclass wooden-box (box)
((price :accessor box-price)))
;setting the values
(setf item (make-instance 'wooden-box))
(setf (box-length item) 10)
(setf (box-breadth item) 10)
(setf (box-height item) 5)
(setf (box-price item) 1000)
; displaying values
(format t "Length of the Wooden Box is ~d~%" (box-length item))
(format t "Breadth of the Wooden Box is ~d~%" (box-breadth item))
(format t "Height of the Wooden Box is ~d~%" (box-height item))
(format t "Volume of the Wooden Box is ~d~%" (volume item))
(format t "Price of the Wooden Box is ~d~%" (box-price item))
When you execute the code, it returns the following result −
Length of the Wooden Box is 10 Breadth of the Wooden Box is 10 Height of the Wooden Box is 5 Volume of the Wooden Box is 500 Price of the Wooden Box is 1000