- IPv4 - Home
- IPv4 - Overview
- IPv4 - OSI Model
- IPv4 - TCP/IP Model
- IPv4 - Packet Structure
- IPv4 - Addressing
- IPv4 - Address Classes
- IPv4 - Subnetting
- IPv4 - VLSM
- IPv4 - Reserved Addresses
- IPv4 - Example
- IPv4 - Summary
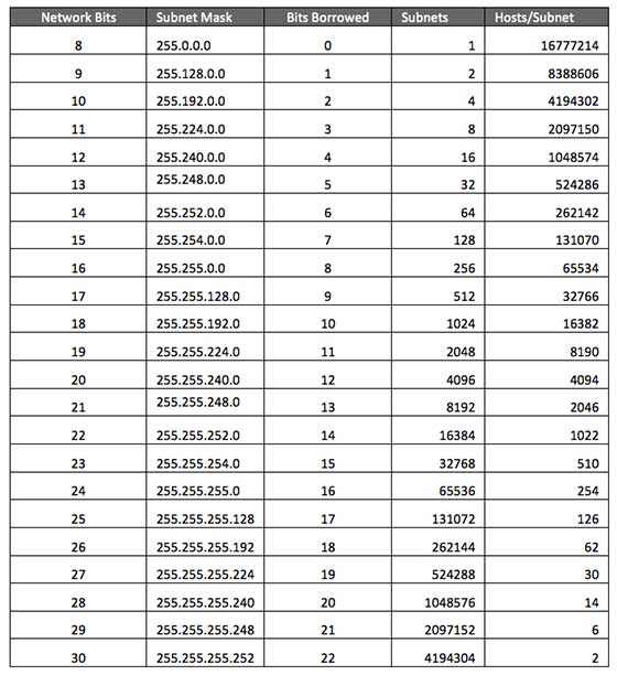
IPv4 - Subnetting
Each IP class is equipped with its own default subnet mask which bounds that IP class to have prefixed number of Networks and prefixed number of Hosts per network. Classful IP addressing does not provide any flexibility of having less number of Hosts per Network or more Networks per IP Class.
CIDR or Classless Inter Domain Routing provides the flexibility of borrowing bits of Host part of the IP address and using them as Network in Network, called Subnet. By using subnetting, one single Class A IP address can be used to have smaller sub-networks which provides better network management capabilities.
Class A Subnets
In Class A, only the first octet is used as Network identifier and rest of three octets are used to be assigned to Hosts (i.e. 16777214 Hosts per Network). To make more subnet in Class A, bits from Host part are borrowed and the subnet mask is changed accordingly.
For example, if one MSB (Most Significant Bit) is borrowed from host bits of second octet and added to Network address, it creates two Subnets (21=2) with (223-2) 8388606 Hosts per Subnet.
The Subnet mask is changed accordingly to reflect subnetting. Given below is a list of all possible combination of Class A subnets −
In case of subnetting too, the very first and last IP address of every subnet is used for Subnet Number and Subnet Broadcast IP address respectively. Because these two IP addresses cannot be assigned to hosts, sub-netting cannot be implemented by using more than 30 bits as Network Bits, which provides less than two hosts per subnet.
Class B Subnets
By default, using Classful Networking, 14 bits are used as Network bits providing (214) 16384 Networks and (216-2) 65534 Hosts. Class B IP Addresses can be subnetted the same way as Class A addresses, by borrowing bits from Host bits. Below is given all possible combination of Class B subnetting −
Class C Subnets
Class C IP addresses are normally assigned to a very small size network because it can only have 254 hosts in a network. Given below is a list of all possible combination of subnetted Class B IP address −