- Graph Theory - Home
- Graph Theory - Introduction
- Graph Theory - History
- Graph Theory - Fundamentals
- Graph Theory - Applications
- Types of Graphs
- Graph Theory - Types of Graphs
- Graph Theory - Simple Graphs
- Graph Theory - Multi-graphs
- Graph Theory - Directed Graphs
- Graph Theory - Weighted Graphs
- Graph Theory - Bipartite Graphs
- Graph Theory - Complete Graphs
- Graph Theory - Subgraphs
- Graph Theory - Trees
- Graph Theory - Forests
- Graph Theory - Planar Graphs
- Graph Theory - Hypergraphs
- Graph Theory - Infinite Graphs
- Graph Theory - Random Graphs
- Graph Representation
- Graph Theory - Graph Representation
- Graph Theory - Adjacency Matrix
- Graph Theory - Adjacency List
- Graph Theory - Incidence Matrix
- Graph Theory - Edge List
- Graph Theory - Compact Representation
- Graph Theory - Incidence Structure
- Graph Theory - Matrix-Tree Theorem
- Graph Properties
- Graph Theory - Basic Properties
- Graph Theory - Coverings
- Graph Theory - Matchings
- Graph Theory - Independent Sets
- Graph Theory - Traversability
- Graph Theory Connectivity
- Graph Theory - Connectivity
- Graph Theory - Vertex Connectivity
- Graph Theory - Edge Connectivity
- Graph Theory - k-Connected Graphs
- Graph Theory - 2-Vertex-Connected Graphs
- Graph Theory - 2-Edge-Connected Graphs
- Graph Theory - Strongly Connected Graphs
- Graph Theory - Weakly Connected Graphs
- Graph Theory - Connectivity in Planar Graphs
- Graph Theory - Connectivity in Dynamic Graphs
- Special Graphs
- Graph Theory - Regular Graphs
- Graph Theory - Complete Bipartite Graphs
- Graph Theory - Chordal Graphs
- Graph Theory - Line Graphs
- Graph Theory - Complement Graphs
- Graph Theory - Graph Products
- Graph Theory - Petersen Graph
- Graph Theory - Cayley Graphs
- Graph Theory - De Bruijn Graphs
- Graph Algorithms
- Graph Theory - Graph Algorithms
- Graph Theory - Breadth-First Search
- Graph Theory - Depth-First Search (DFS)
- Graph Theory - Dijkstra's Algorithm
- Graph Theory - Bellman-Ford Algorithm
- Graph Theory - Floyd-Warshall Algorithm
- Graph Theory - Johnson's Algorithm
- Graph Theory - A* Search Algorithm
- Graph Theory - Kruskal's Algorithm
- Graph Theory - Prim's Algorithm
- Graph Theory - Borůvka's Algorithm
- Graph Theory - Ford-Fulkerson Algorithm
- Graph Theory - Edmonds-Karp Algorithm
- Graph Theory - Push-Relabel Algorithm
- Graph Theory - Dinic's Algorithm
- Graph Theory - Hopcroft-Karp Algorithm
- Graph Theory - Tarjan's Algorithm
- Graph Theory - Kosaraju's Algorithm
- Graph Theory - Karger's Algorithm
- Graph Coloring
- Graph Theory - Coloring
- Graph Theory - Edge Coloring
- Graph Theory - Total Coloring
- Graph Theory - Greedy Coloring
- Graph Theory - Four Color Theorem
- Graph Theory - Coloring Bipartite Graphs
- Graph Theory - List Coloring
- Advanced Topics of Graph Theory
- Graph Theory - Chromatic Number
- Graph Theory - Chromatic Polynomial
- Graph Theory - Graph Labeling
- Graph Theory - Planarity & Kuratowski's Theorem
- Graph Theory - Planarity Testing Algorithms
- Graph Theory - Graph Embedding
- Graph Theory - Graph Minors
- Graph Theory - Isomorphism
- Spectral Graph Theory
- Graph Theory - Graph Laplacians
- Graph Theory - Cheeger's Inequality
- Graph Theory - Graph Clustering
- Graph Theory - Graph Partitioning
- Graph Theory - Tree Decomposition
- Graph Theory - Treewidth
- Graph Theory - Branchwidth
- Graph Theory - Graph Drawings
- Graph Theory - Force-Directed Methods
- Graph Theory - Layered Graph Drawing
- Graph Theory - Orthogonal Graph Drawing
- Graph Theory - Examples
- Computational Complexity of Graph
- Graph Theory - Time Complexity
- Graph Theory - Space Complexity
- Graph Theory - NP-Complete Problems
- Graph Theory - Approximation Algorithms
- Graph Theory - Parallel & Distributed Algorithms
- Graph Theory - Algorithm Optimization
- Graphs in Computer Science
- Graph Theory - Data Structures for Graphs
- Graph Theory - Graph Implementations
- Graph Theory - Graph Databases
- Graph Theory - Query Languages
- Graph Algorithms in Machine Learning
- Graph Neural Networks
- Graph Theory - Link Prediction
- Graph-Based Clustering
- Graph Theory - PageRank Algorithm
- Graph Theory - HITS Algorithm
- Graph Theory - Social Network Analysis
- Graph Theory - Centrality Measures
- Graph Theory - Community Detection
- Graph Theory - Influence Maximization
- Graph Theory - Graph Compression
- Graph Theory Real-World Applications
- Graph Theory - Network Routing
- Graph Theory - Traffic Flow
- Graph Theory - Web Crawling Data Structures
- Graph Theory - Computer Vision
- Graph Theory - Recommendation Systems
- Graph Theory - Biological Networks
- Graph Theory - Social Networks
- Graph Theory - Smart Grids
- Graph Theory - Telecommunications
- Graph Theory - Knowledge Graphs
- Graph Theory - Game Theory
- Graph Theory - Urban Planning
- Graph Theory Useful Resources
- Graph Theory - Quick Guide
- Graph Theory - Useful Resources
- Graph Theory - Discussion
Graph Algorithms in Machine Learning
Graph Algorithms in Machine Learning
Graph algorithms are useful in machine learning for understanding complex relationships in data. They help analyze connected structures like social networks, recommendation systems, biological networks, and knowledge graphs.
These algorithms are used for tasks like clustering, classification, anomaly detection, and prediction.
Machine learning applications often require understanding patterns, relationships, and structures in data. Graph algorithms provide ways to extract meaningful insights from structured and unstructured data.
This tutorial explores the fundamentals of graph algorithms used in machine learning, their applications, and how they contribute to various tasks in AI and data science.
Why Use Graph Algorithms in ML?
Graphs naturally represent relationships between entities, making them useful in various fields −
- Social Networks: Analyzing user interactions and detecting communities.
- Recommendation Systems: Suggesting products or content based on user preferences.
- Biological Networks: Studying protein-protein interactions and gene regulatory networks.
- Fraud Detection: Identifying suspicious activities by analyzing transaction networks.
- Natural Language Processing: Representing text as a graph for better contextual understanding.
Graph Algorithms in Machine Learning
There are various graph algorithms commonly used in machine learning tasks. These are as follows −
- Graph Traversal: Used for pathfinding and exploring connected components.
- Shortest Path Algorithms: Finding optimal routes in graph-based networks.
- Centrality Measures: Identifying influential nodes in a network.
- Graph Clustering: Grouping similar nodes based on connectivity.
- Graph Neural Networks (GNNs): Deep learning models designed for graph data.
Graph Traversal Algorithms
Graph traversal is the process of visiting all nodes in a graph systematically. The two most common traversal methods are:
Breadth-First Search (BFS)
BFS explores all neighbors of a node before moving to the next level. It is useful for:
- Finding the shortest path in unweighted graphs.
- Detecting connected components.
- Recommendation systems.
Example: Implementing BFS in Python
The following BFS (Breadth-First Search) algorithm explores a graph level by level using a queue. It starts from node 'A', visits its neighbors before moving to the next level, printing each visited node −
from collections import deque
def bfs(graph, start):
visited = set()
queue = deque([start])
while queue:
node = queue.popleft()
if node not in visited:
print(node, end=" ")
visited.add(node)
queue.extend(graph[node])
graph = {
'A': ['B', 'C'],
'B': ['D', 'E'],
'C': ['F'],
'D': [], 'E': [], 'F': []
}
bfs(graph, 'A')
We get the output as shown below −
A B C D E F
Depth-First Search (DFS)
DFS explores as deep as possible before backtracking. It is useful for −
- Finding cycles in a graph.
- Solving maze and pathfinding problems.
- Detecting strongly connected components.
Example: Implementing DFS in Python
This DFS (Depth-First Search) algorithm explores the same above graph by visiting a node and recursively traversing its neighbors before backtracking. It starts from 'A', exploring deeper paths before moving to the next branch −
from collections import deque
def dfs(graph, node, visited=set()):
if node not in visited:
print(node, end=" ")
visited.add(node)
for neighbor in graph[node]:
dfs(graph, neighbor, visited)
graph = {
'A': ['B', 'C'],
'B': ['D', 'E'],
'C': ['F'],
'D': [], 'E': [], 'F': []
}
dfs(graph, 'A')
Following is the output obtained −
A B D E C F
Shortest Path Algorithms
Shortest path algorithms are useful for finding the most efficient route between nodes in a graph. These algorithms are commonly used in real-world applications such as navigation systems, network routing, logistics, and recommendation engines. They help optimize resource usage, reduce travel time, and enhance decision-making in various domains.
Dijkstra's Algorithm
Dijkstra's Algorithm is used to find the shortest path from a single source node to all other nodes in a graph. It works well with weighted graphs where all edge weights are non-negative. It works in the following way −
- Initialize: Set the distance of the source node to 0 and all other nodes to infinity.
- Priority Queue: Use a min-priority queue (or min-heap) to select the node with the smallest distance.
- Relaxation Step: For the selected node, update the distances of its adjacent nodes if a shorter path is found.
- Mark as Processed: Once a node's shortest distance is determined, it is removed from the queue and not revisited.
- Repeat: Continue this process until all nodes have been visited.
Example
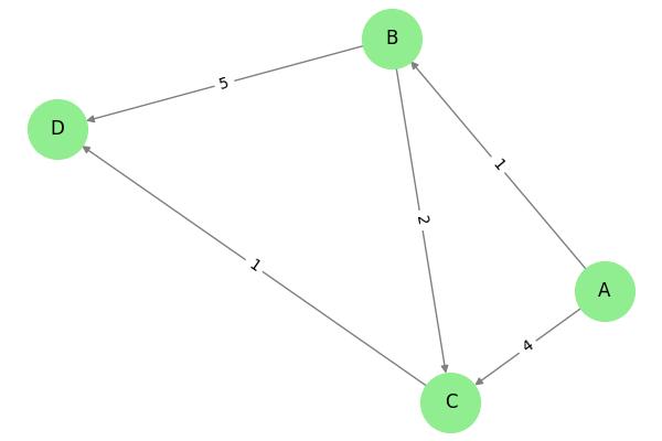
In the following example, we use Dijkstra's algorithm to find the shortest path from node A to all other nodes in a weighted graph −
- The graph is represented as an adjacency list where each node maps to a list of (neighbor, weight) pairs.
- A priority queue (min-heap) is used to select the node with the smallest distance at each step.
- The algorithm relaxes edges by updating the shortest distances when a better path is found.
- Once all nodes are processed, the dictionary shortest_paths contains the shortest distance from 'A' to every other node.
import heapq
def dijkstra(graph, start):
pq = [(0, start)]
distances = {node: float('inf') for node in graph}
distances[start] = 0
while pq:
current_distance, node = heapq.heappop(pq)
for neighbor, weight in graph[node].items():
distance = current_distance + weight
if distance < distances[neighbor]:
distances[neighbor] = distance
heapq.heappush(pq, (distance, neighbor))
return distances
graph = {
'A': {'B': 1, 'C': 4},
'B': {'C': 2, 'D': 5},
'C': {'D': 1},
'D': {}
}
print(dijkstra(graph, 'A'))
Following is the output obtained −
{'A': 0, 'B': 1, 'C': 3, 'D': 4}
Graph Neural Networks (GNNs)
Graph Neural Networks (GNNs) are a type of deep learning model specifically designed to process and analyze graph-structured data. Unlike traditional neural networks, GNNs can capture relationships and dependencies between nodes in a graph.
They are widely used in applications such as social network analysis, recommendation systems, and drug discovery. They are also used in −
- Node classification.
- Link prediction.
- Graph classification.
Applications of Graph Algorithms in ML
Graph algorithms have many machine learning applications, such as −
- Social Media Analysis: Detecting communities and recommending connections.
- Fraud Detection: Identifying fraudulent transactions using graph anomalies.
- Biological Research: Analyzing molecular structures and gene interactions.
- Search Engines: Ranking web pages based on link structures.