- Distributed Database Environments
- DDBMS - Design Strategies
- DDBMS - Distribution Transparency
- DDBMS - Database Control
- Query Optimization
- Relational Algebra Query
- Query Optimization Centralized
- Query Optimization in Distributed
- Concurrency Control
- Transaction Processing Systems
- DDBMS - Controlling Concurrency
- DDBMS - Deadlock Handling
- Failure and Recovery
- DDBMS - Replication Control
- DDBMS - Failure & Commit
- DDBMS - Database Recovery
- Distributed Commit Protocols
- Distributed DBMS Security
- Database Security & Cryptography
- Security in Distributed Databases
- Distributed DBMS Resources
- DDBMS - Quick Guide
- DDBMS - Useful Resources
- DDBMS - Discussion
Distributed DBMS - Deadlock Handling
This chapter overviews deadlock handling mechanisms in database systems. Well study the deadlock handling mechanisms in both centralized and distributed database system.
What are Deadlocks?
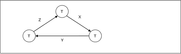
Deadlock is a state of a database system having two or more transactions, when each transaction is waiting for a data item that is being locked by some other transaction. A deadlock can be indicated by a cycle in the wait-for-graph. This is a directed graph in which the vertices denote transactions and the edges denote waits for data items.
For example, in the following wait-for-graph, transaction T1 is waiting for data item X which is locked by T3. T3 is waiting for Y which is locked by T2 and T2 is waiting for Z which is locked by T1. Hence, a waiting cycle is formed, and none of the transactions can proceed executing.
Deadlock Handling in Centralized Systems
There are three classical approaches for deadlock handling, namely −
- Deadlock prevention.
- Deadlock avoidance.
- Deadlock detection and removal.
All of the three approaches can be incorporated in both a centralized and a distributed database system.
Deadlock Prevention
The deadlock prevention approach does not allow any transaction to acquire locks that will lead to deadlocks. The convention is that when more than one transactions request for locking the same data item, only one of them is granted the lock.
One of the most popular deadlock prevention methods is pre-acquisition of all the locks. In this method, a transaction acquires all the locks before starting to execute and retains the locks for the entire duration of transaction. If another transaction needs any of the already acquired locks, it has to wait until all the locks it needs are available. Using this approach, the system is prevented from being deadlocked since none of the waiting transactions are holding any lock.
Deadlock Avoidance
The deadlock avoidance approach handles deadlocks before they occur. It analyzes the transactions and the locks to determine whether or not waiting leads to a deadlock.
The method can be briefly stated as follows. Transactions start executing and request data items that they need to lock. The lock manager checks whether the lock is available. If it is available, the lock manager allocates the data item and the transaction acquires the lock. However, if the item is locked by some other transaction in incompatible mode, the lock manager runs an algorithm to test whether keeping the transaction in waiting state will cause a deadlock or not. Accordingly, the algorithm decides whether the transaction can wait or one of the transactions should be aborted.
There are two algorithms for this purpose, namely wait-die and wound-wait. Let us assume that there are two transactions, T1 and T2, where T1 tries to lock a data item which is already locked by T2. The algorithms are as follows −
Wait-Die − If T1 is older than T2, T1 is allowed to wait. Otherwise, if T1 is younger than T2, T1 is aborted and later restarted.
Wound-Wait − If T1 is older than T2, T2 is aborted and later restarted. Otherwise, if T1 is younger than T2, T1 is allowed to wait.
Deadlock Detection and Removal
The deadlock detection and removal approach runs a deadlock detection algorithm periodically and removes deadlock in case there is one. It does not check for deadlock when a transaction places a request for a lock. When a transaction requests a lock, the lock manager checks whether it is available. If it is available, the transaction is allowed to lock the data item; otherwise the transaction is allowed to wait.
Since there are no precautions while granting lock requests, some of the transactions may be deadlocked. To detect deadlocks, the lock manager periodically checks if the wait-forgraph has cycles. If the system is deadlocked, the lock manager chooses a victim transaction from each cycle. The victim is aborted and rolled back; and then restarted later. Some of the methods used for victim selection are −
- Choose the youngest transaction.
- Choose the transaction with fewest data items.
- Choose the transaction that has performed least number of updates.
- Choose the transaction having least restart overhead.
- Choose the transaction which is common to two or more cycles.
This approach is primarily suited for systems having transactions low and where fast response to lock requests is needed.
Deadlock Handling in Distributed Systems
Transaction processing in a distributed database system is also distributed, i.e. the same transaction may be processing at more than one site. The two main deadlock handling concerns in a distributed database system that are not present in a centralized system are transaction location and transaction control. Once these concerns are addressed, deadlocks are handled through any of deadlock prevention, deadlock avoidance or deadlock detection and removal.
Transaction Location
Transactions in a distributed database system are processed in multiple sites and use data items in multiple sites. The amount of data processing is not uniformly distributed among these sites. The time period of processing also varies. Thus the same transaction may be active at some sites and inactive at others. When two conflicting transactions are located in a site, it may happen that one of them is in inactive state. This condition does not arise in a centralized system. This concern is called transaction location issue.
This concern may be addressed by Daisy Chain model. In this model, a transaction carries certain details when it moves from one site to another. Some of the details are the list of tables required, the list of sites required, the list of visited tables and sites, the list of tables and sites that are yet to be visited and the list of acquired locks with types. After a transaction terminates by either commit or abort, the information should be sent to all the concerned sites.
Transaction Control
Transaction control is concerned with designating and controlling the sites required for processing a transaction in a distributed database system. There are many options regarding the choice of where to process the transaction and how to designate the center of control, like −
- One server may be selected as the center of control.
- The center of control may travel from one server to another.
- The responsibility of controlling may be shared by a number of servers.
Distributed Deadlock Prevention
Just like in centralized deadlock prevention, in distributed deadlock prevention approach, a transaction should acquire all the locks before starting to execute. This prevents deadlocks.
The site where the transaction enters is designated as the controlling site. The controlling site sends messages to the sites where the data items are located to lock the items. Then it waits for confirmation. When all the sites have confirmed that they have locked the data items, transaction starts. If any site or communication link fails, the transaction has to wait until they have been repaired.
Though the implementation is simple, this approach has some drawbacks −
Pre-acquisition of locks requires a long time for communication delays. This increases the time required for transaction.
In case of site or link failure, a transaction has to wait for a long time so that the sites recover. Meanwhile, in the running sites, the items are locked. This may prevent other transactions from executing.
If the controlling site fails, it cannot communicate with the other sites. These sites continue to keep the locked data items in their locked state, thus resulting in blocking.
Distributed Deadlock Avoidance
As in centralized system, distributed deadlock avoidance handles deadlock prior to occurrence. Additionally, in distributed systems, transaction location and transaction control issues needs to be addressed. Due to the distributed nature of the transaction, the following conflicts may occur −
- Conflict between two transactions in the same site.
- Conflict between two transactions in different sites.
In case of conflict, one of the transactions may be aborted or allowed to wait as per distributed wait-die or distributed wound-wait algorithms.
Let us assume that there are two transactions, T1 and T2. T1 arrives at Site P and tries to lock a data item which is already locked by T2 at that site. Hence, there is a conflict at Site P. The algorithms are as follows −
Distributed Wound-Die
If T1 is older than T2, T1 is allowed to wait. T1 can resume execution after Site P receives a message that T2 has either committed or aborted successfully at all sites.
If T1 is younger than T2, T1 is aborted. The concurrency control at Site P sends a message to all sites where T1 has visited to abort T1. The controlling site notifies the user when T1 has been successfully aborted in all the sites.
Distributed Wait-Wait
If T1 is older than T2, T2 needs to be aborted. If T2 is active at Site P, Site P aborts and rolls back T2 and then broadcasts this message to other relevant sites. If T2 has left Site P but is active at Site Q, Site P broadcasts that T2 has been aborted; Site L then aborts and rolls back T2 and sends this message to all sites.
If T1 is younger than T1, T1 is allowed to wait. T1 can resume execution after Site P receives a message that T2 has completed processing.
Distributed Deadlock Detection
Just like centralized deadlock detection approach, deadlocks are allowed to occur and are removed if detected. The system does not perform any checks when a transaction places a lock request. For implementation, global wait-for-graphs are created. Existence of a cycle in the global wait-for-graph indicates deadlocks. However, it is difficult to spot deadlocks since transaction waits for resources across the network.
Alternatively, deadlock detection algorithms can use timers. Each transaction is associated with a timer which is set to a time period in which a transaction is expected to finish. If a transaction does not finish within this time period, the timer goes off, indicating a possible deadlock.
Another tool used for deadlock handling is a deadlock detector. In a centralized system, there is one deadlock detector. In a distributed system, there can be more than one deadlock detectors. A deadlock detector can find deadlocks for the sites under its control. There are three alternatives for deadlock detection in a distributed system, namely.
Centralized Deadlock Detector − One site is designated as the central deadlock detector.
Hierarchical Deadlock Detector − A number of deadlock detectors are arranged in hierarchy.
Distributed Deadlock Detector − All the sites participate in detecting deadlocks and removing them.